精英家教网 > 高中数学 > 题目详情

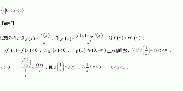
已知为定义在上的可导函数,且,则不等式的解集为

练习册系列答案
相关习题

科目:高中数学 来源:2015-2016学年江西省吉安市高一上学期期中数学试卷(解析版) 题型:填空题

给出下列命题:

①已知集合M满足,且M中至多有一个偶数,这样的集合M有12个;

②已知函数满足条件:,则等于-1;

③设A、B为非空集合,定义集合,若

,则

④如果函数的图象关于y轴对称,且,则当时,

其中正确的命题的序号是 (把所有正确的命题序号写在答题卷上).

查看答案和解析>>

科目:高中数学 来源:2015-2016学年广东广州执信中学高一上学期期中数学试卷(解析版) 题型:解答题

如图,是边长为的正三角形,记位于直线)左侧的图形的面积为.试求的解析式,并画出的图象.

查看答案和解析>>

科目:高中数学 来源:2016届江西省高三上第三次考试理科数学试卷(解析版) 题型:解答题

为实数,函数

(Ⅰ)当时,求上的最大值;

(Ⅱ)设函数,当有两个极值点时,总有,求实数的值。(的导函数)

查看答案和解析>>

科目:高中数学 来源:2016届黑龙江牡丹江一中高三10月月考文数学试卷(解析版) 题型:填空题

查看答案和解析>>

科目:高中数学 来源:2016届广东省广州市高三上学期期中文科数学试卷(解析版) 题型:解答题

【选修4-1:几何证明选讲】

如图,P为圆外一点,PD为圆的切线,切点为D,AB为圆的一条直径,过点P作AB的垂线交圆于C、E两点(C、D两点在AB的同侧),垂足为F,连接AD交PE于点G.

(1)证明:PG=PD;

(2)若AC=BD,求证:线段AB与DE互相平分.

查看答案和解析>>

科目:高中数学 来源:2015-2016学年重庆市高一上学期期中数学试卷(解析版) 题型:填空题

函数是实数集上的偶函数,并且的解为,则的值为__________.

查看答案和解析>>

科目:高中数学 来源:2015-2016学年吉林长春十一中高一上学期期中文科数学卷(解析版) 题型:选择题

函数 的零点个数为( )

A.0 B.1 C.2 D.3

查看答案和解析>>

科目:高中数学 来源:2015-2016学年江苏省高邮市高一上学期期中调研数学试卷(解析版) 题型:解答题

已知函数

(1)证明:函数是常数函数;

(2)判断的奇偶性并证明.

查看答案和解析>>

同步练习册答案