精英家教网 > 高中数学 > 题目详情

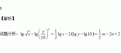
的值等于 ( )

A. B.

C. D.

练习册系列答案
相关习题

科目:高中数学 来源:2015-2016学年河南省英文学校高二上学期期中考试数学试卷(解析版) 题型:填空题

若A=(x+3)(x+7),B=(x+4)(x+6),则A、B的大小关系为________.

查看答案和解析>>

科目:高中数学 来源:2015-2016学年贵州遵义航天高中高二上学期期中数学试卷(解析版) 题型:解答题

(1)求与直线垂直,且与原点的距离为6的直线方程;

(2)求经过直线的交点,且平行于直线的直线方程.

查看答案和解析>>

科目:高中数学 来源:2015-2016学年四川省实验学校高二上学期期中理科数学试卷(解析版) 题型:填空题

关于图中的正方体,下列说法正确的有: ___________________.

点在线段上运动,棱锥体积不变;

点在线段上运动,二面角 不变;

③一个平面截此正方体,如果截面是三角形,则必为锐角三角形;

④一个平面截此正方体,如果截面是四边形,则必为平行四边形;

⑤平面截正方体得到一个六边形(如图所示),则截面在平面与平面间平行移动时此六边形周长先增大,后减小。

查看答案和解析>>

科目:高中数学 来源:2015-2016学年陕西省西安市高二上学期期中考试理科数学试卷(解析版) 题型:选择题

在等差数列{an}中,已知a3+a8>0,且S9<0,则S1、S2、…S9中最小的是( )

A.S4 B.S5 C.S6 D.S7

查看答案和解析>>

科目:高中数学 来源:2015-2016学年江西铅山一中 、横峰中学高二上学期期中理科数学卷(解析版) 题型:选择题

不等式≤0对于任意恒成立,则实数的取值范围是( )

A. B. C. D.

查看答案和解析>>

科目:高中数学 来源:2015-2016学年黑龙江省高二上学期期中数学试卷(解析版) 题型:选择题

执行下面的程序框图,输出的S=( )

A.25 B.9 C.17 D.20

查看答案和解析>>

科目:高中数学 来源:2015-2016学年山东省高一上学期期中模块考试数学试卷(解析版) 题型:解答题

已知集合,集合

(1)当 时,求集合

(2)若,求实数的取值范围。

查看答案和解析>>

科目:高中数学 来源:2015-2016学年福建省高一上学期期中考试数学试卷(解析版) 题型:选择题

下列式子中成立的是( )

A. B.

C. D.

查看答案和解析>>

同步练习册答案