精英家教网 > 高中数学 > 题目详情

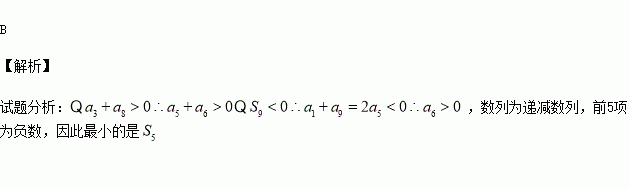
在等差数列{an}中,已知a3+a8>0,且S9<0,则S1、S2、…S9中最小的是( )

A.S4 B.S5 C.S6 D.S7

练习册系列答案
相关习题

科目:高中数学 来源:2015-2016学年陕西省西安市高二上学期期中考试文科数学试卷(解析版) 题型:选择题

等差数列中,前n项的和为,若S13=39,那么a7=( )

A.3 B.6 C.9 D.12

查看答案和解析>>

科目:高中数学 来源:2015-2016学年江苏省高一上学期期中数学试卷(解析版) 题型:解答题

设集合U=R,

(1)求:

(2)设集合,若,求a的取值范围.

查看答案和解析>>

科目:高中数学 来源:2015-2016学年安徽师大附中高二上学期期中理科数学试卷(解析版) 题型:选择题

抛物线的焦点为,准线为是抛物线上的两个动点,且满足,设线段的中点上的投影为,则的最大值是( )

A. B. C. D.

查看答案和解析>>

科目:高中数学 来源:2015-2016学年四川省实验学校高二上学期期中理科数学试卷(解析版) 题型:选择题

如图,在正四棱锥(底面为正方形,顶点在底面的射影为底面的中心)S﹣ABCD中,E,M,N分别是BC,CD,SC的中点,动点P在线段MN上运动时,下列四个结论中恒成立的个数为( )

(1)EP⊥AC;(2)EP∥BD;(3)EP∥面SBD;(4)EP⊥面SAC.

A.1个 B.2个 C.3个 D.4个

查看答案和解析>>

科目:高中数学 来源:2015-2016学年辽宁省葫芦岛市高一上学期期中考试数学试卷(解析版) 题型:选择题

的值等于 ( )

A. B.

C. D.

查看答案和解析>>

科目:高中数学 来源:2015-2016学年江西铅山一中 、横峰中学高二上学期期中理科数学卷(解析版) 题型:选择题

若某公司从四位大学毕业生甲、乙、丙、丁中录用两人,这四人被录用的机会均等,则甲被录用的概率为( )

A. B. C. D.

查看答案和解析>>

科目:高中数学 来源:2015-2016学年湖南省高二上学期期中文科数学试卷(解析版) 题型:选择题

△ABC中,AB=,AC=1,∠B=30°则△ABC的面积等于( )

A. B. C. D.

查看答案和解析>>

科目:高中数学 来源:2015-2016学年湖南省高二上学期期中考试理科数学试卷(解析版) 题型:选择题

,则“”是“”的( )

A.充要条件 B.充分不必要条件

C.必要不充分条件 D.既不充分也不必要条件

查看答案和解析>>

同步练习册答案