精英家教网 > 高中数学 > 题目详情

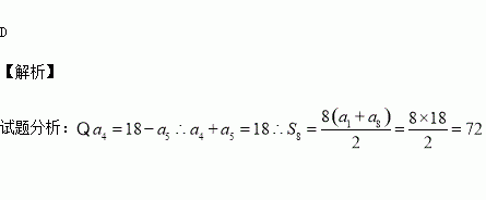
已知等差数列的前n项和为,且=( )

A.18 B.36 C.54 D.72

练习册系列答案
相关习题

科目:高中数学 来源:2016届云南省高三适应性月考二理科数学试卷(解析版) 题型:填空题

已知复数则|z|=

查看答案和解析>>

科目:高中数学 来源:2016届湖北省、宜昌一中高三10月联考文科数学试卷(解析版) 题型:解答题

(本小题满分10分)选修4-5:不等式选讲

已知函数

(1)解不等式

(2)对任意,都有成立,求实数的取值范围.

查看答案和解析>>

科目:高中数学 来源:2016届浙江省瑞安市高三上学期第一次四校联考文科数学试卷(解析版) 题型:解答题

(本题满分14分)已知函数

(1)若的定义域和值域均是,求实数的值;

(2)若在区间上是减函数,且对任意的,总有,求实数的取值范围;

(3)若上有零点,求实数的取值范围。

查看答案和解析>>

科目:高中数学 来源:2015-2016学年吉林实验中学高二上学期期中理科数学试卷(解析版) 题型:选择题

在三棱柱中,底面是正三角形,侧棱底面,点是侧面的中心,若,则直线与平面所成角的大小为

(A) (B) (C) (D)

查看答案和解析>>

科目:高中数学 来源:2015-2016学年甘肃省嘉峪关市高二上学期期中考试理科数学试卷(解析版) 题型:填空题

已知等差数列满足,则,则最大值为

查看答案和解析>>

科目:高中数学 来源:2016届浙江宁波效实中学高三上期中考试文科数学试卷(解析版) 题型:选择题

函数的图象向右平移后关于轴对称,则满足此条件的值为( )

A. B. C. D.

查看答案和解析>>

科目:高中数学 来源:2016届山东省高三第二次诊断性考试理科数学试卷(解析版) 题型:解答题

(本小题满分12分)

的内角所对的边长分别为,且

(Ⅰ)当时,求的值;

(Ⅱ)当的面积为3时,求的值.

查看答案和解析>>

科目:高中数学 来源:2015-2016学年湖北省高二上期中文科数学试卷(解析版) 题型:填空题

给出如下四个命题:

①若“”为真命题,则均为真命题;

②命题“若,则”的否命题为“若,则”;

③在中,“”是“”的充要条件;

④已知条件,条件,若的充分不必要条件,则的取值范围是

其中正确的命题的是

查看答案和解析>>

同步练习册答案