精英家教网 > 高中数学 > 题目详情

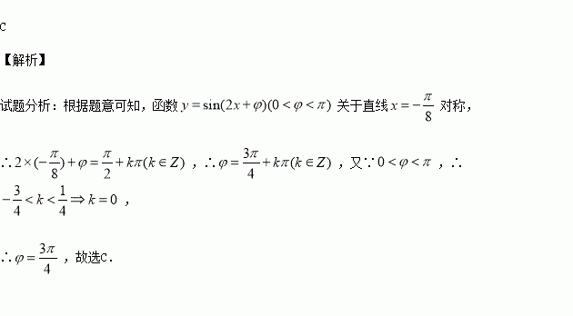
函数的图象向右平移后关于轴对称,则满足此条件的值为( )

A. B. C. D.

练习册系列答案
相关习题

科目:高中数学 来源:2016届四川省高三上学期10月段考理科数学试卷(解析版) 题型:选择题

设函数f’(x)是奇函数f(x)(x∈R)的导函数,f(-1)=0,当x>0时,xf’(x)-f(x)<0,则使得f(x)>0成立的x的取值范围是( )

A.(一∞,一1)(0,1)

B.(一1,0)(1,+∞)

C.(一∞,一1)(一1,0)

D.(0,1)(1,+∞)

查看答案和解析>>

科目:高中数学 来源:2015-2016学年甘肃省高一上学期期中数学试卷(解析版) 题型:解答题

(本小题满分12分)若函数是定义在上的偶函数,且当时,

(1)写出函数的解析式.

(2)若函数,求函数的最小值.

查看答案和解析>>

科目:高中数学 来源:2015-2016学年甘肃省嘉峪关市高二上学期期中考试文科数学试卷(解析版) 题型:选择题

已知等差数列的前n项和为,且=( )

A.18 B.36 C.54 D.72

查看答案和解析>>

科目:高中数学 来源:2015-2016学年甘肃省嘉峪关市高二上学期期中考试理科数学试卷(解析版) 题型:选择题

已知x,y满足则2x-y的最大值为( )

A.1 B.2 C.3 D.4

查看答案和解析>>

科目:高中数学 来源:2016届浙江宁波效实中学高三上期中考试理科数学试卷(解析版) 题型:选择题

在各项均为正数的等比数列中,,则( )

A.8 B.6 C.4 D.

查看答案和解析>>

科目:高中数学 来源:2016届山东省高三第二次诊断性考试文科数学试卷(解析版) 题型:选择题

已知是奇函数,且满足,当时,,则当时,的最小值为( )

A. B. C. D.

查看答案和解析>>

科目:高中数学 来源:2016届河南省原名校高三上学期第一次联考文科数学试卷(解析版) 题型:填空题

求值:

查看答案和解析>>

科目:高中数学 来源:2015-2016学年陕西省高二上学期期中考试数学试卷(解析版) 题型:填空题

已知0<2a<1,若A=1+a2, B=, 则A与B的大小关系是

查看答案和解析>>

同步练习册答案