精英家教网 > 高中数学 > 题目详情

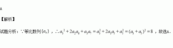
在各项均为正数的等比数列中,,则( )

A.8 B.6 C.4 D.

练习册系列答案
相关习题

科目:高中数学 来源:2016届宁夏银川一中高三上学期第三次月考文科数学试卷(解析版) 题型:选择题

某学生离家去学校,由于怕迟到,所以一开始就跑步,等跑累了再走余下的路程 在下图中纵轴表示该同学离学校的距离,横轴表示出发后的时间,则下图中的四个图形中较符合该学生走法的是 ( )

查看答案和解析>>

科目:高中数学 来源:2016届浙江省瑞安市高三上学期第一次四校联考文科数学试卷(解析版) 题型:解答题

(本题满分14分)已知函数

(1)若的定义域和值域均是,求实数的值;

(2)若在区间上是减函数,且对任意的,总有,求实数的取值范围;

(3)若上有零点,求实数的取值范围。

查看答案和解析>>

科目:高中数学 来源:2015-2016学年甘肃省嘉峪关市高二上学期期中考试理科数学试卷(解析版) 题型:填空题

已知等差数列满足,则,则最大值为

查看答案和解析>>

科目:高中数学 来源:2016届浙江宁波效实中学高三上期中考试文科数学试卷(解析版) 题型:选择题

函数的图象向右平移后关于轴对称,则满足此条件的值为( )

A. B. C. D.

查看答案和解析>>

科目:高中数学 来源:2016届山东省高三第二次诊断性考试文科数学试卷(解析版) 题型:填空题

函数的图象如图所示,则

查看答案和解析>>

科目:高中数学 来源:2016届山东省高三第二次诊断性考试理科数学试卷(解析版) 题型:解答题

(本小题满分12分)

的内角所对的边长分别为,且

(Ⅰ)当时,求的值;

(Ⅱ)当的面积为3时,求的值.

查看答案和解析>>

科目:高中数学 来源:2016届河南省原名校高三上学期第一次联考理科数学试卷(解析版) 题型:解答题

(本小题满分12分)已知函数).

(1)若的极值点,求实数的值;

(2)若上为增函数,求实数的取值范围;

(3)当时,函数有零点,求实数的最大值.

查看答案和解析>>

科目:高中数学 来源:2015-2016学年辽宁省大连市高二10月月考数学试卷(解析版) 题型:选择题

右图是用模拟方法估计圆周率的程序框图,表示估计结 果,则图中空白框内应填入( )

A.

B.

C.

D.

查看答案和解析>>

同步练习册答案