精英家教网 > 高中数学 > 题目详情

某学生离家去学校,由于怕迟到,所以一开始就跑步,等跑累了再走余下的路程 在下图中纵轴表示该同学离学校的距离,横轴表示出发后的时间,则下图中的四个图形中较符合该学生走法的是 ( )

练习册系列答案
相关习题

科目:高中数学 来源:2014-2015学年四川省高二下学期4月月考理科数学试卷(解析版) 题型:选择题

被4除所得的余数为( )

A、0 B、1 C、2 D、3

查看答案和解析>>

科目:高中数学 来源:2014-2015学年山西省高一下期末数学试卷(解析版) 题型:选择题

下列4个命题,其中正确的命题序号为

①|x+|的最小值是2;

的最小值是2;

③log2x+logx2的最小值是2;

④3x+3?x的最小值是2.

A.①②③ B.①②④ C.②③④ D.①③④

查看答案和解析>>

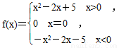
科目:高中数学 来源:2016届四川省高三上学期10月段考文科数学试卷(解析版) 题型:选择题

设函数f(x)=若互不相等的实数x1,x2,x3满足,则x1+x2+x3的取值范围是( )

A. B. C. D.

查看答案和解析>>

科目:高中数学 来源:2016届四川省高三上学期10月段考理科数学试卷(解析版) 题型:选择题

设函数f’(x)是奇函数f(x)(x∈R)的导函数,f(-1)=0,当x>0时,xf’(x)-f(x)<0,则使得f(x)>0成立的x的取值范围是( )

A.(一∞,一1)(0,1)

B.(一1,0)(1,+∞)

C.(一∞,一1)(一1,0)

D.(0,1)(1,+∞)

查看答案和解析>>

科目:高中数学 来源:2016届宁夏银川一中高三上学期第三次月考理科数学试卷(解析版) 题型:解答题

(本小题满分12分)已知函数

(1)当时,求函数的最小值和最大值;

(2)设的内角的对应边分别为,且,若向量与向量共线,求的值.

查看答案和解析>>

科目:高中数学 来源:2016届江苏省高三上学期第二次月考理科数学试卷(解析版) 题型:填空题

已知函数,若,则实数的取值范围是

查看答案和解析>>

科目:高中数学 来源:2016届湖北省、宜昌一中高三10月联考文科数学试卷(解析版) 题型:选择题

函数是R上的 ( )

A.偶函数

B.奇函数

C.既是奇函数又是偶函数

D.非奇非偶函数

查看答案和解析>>

科目:高中数学 来源:2016届浙江宁波效实中学高三上期中考试理科数学试卷(解析版) 题型:选择题

在各项均为正数的等比数列中,,则( )

A.8 B.6 C.4 D.

查看答案和解析>>

同步练习册答案