精英家教网 > 高中数学 > 题目详情
已知双曲线的中心在原点,离心率为,若它的一条准线与抛物线y2=4x的准线重合,则该双曲线的方程是   
【答案】分析:确定抛物线的准线方程,得到双曲线的准线方程,假设双曲线方程,利用待定系数法即可得到结论.
解答:解:∵抛物线y2=4x的准线方程为x=-1
∴双曲线的准线方程为x=-1
设双曲线方程为,则
∴a=,c=3
∴b2=6
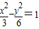
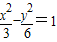
∴双曲线的方程是
故答案为:
点评:本题考查双曲线的标准方程,解题的关键是待定系数法,利用双曲线的几何性质.
练习册系列答案
相关习题

科目:高中数学 来源: 题型:

已知双曲线的中心在原点,焦点F1,F2在坐标轴上,离心率为
2
,且过点(4,-
10
)
,则双曲线的标准方程是
x2-y2=6
x2-y2=6

查看答案和解析>>

科目:高中数学 来源: 题型:

已知双曲线的中心在原点,焦点为F1(5,0),F2(-5,0),且过点(3,0),
(1)求双曲线的标准方程.
(2)求双曲线的离心率及准线方程.

查看答案和解析>>

科目:高中数学 来源: 题型:

已知双曲线的中心在原点,焦点F1,F2在坐标轴上,一条渐近线方程为y=x,且过点(4,-
10
)

(1)求双曲线方程;
(2)设A点坐标为(0,2),求双曲线上距点A最近的点P的坐标及相应的距离|PA|.

查看答案和解析>>

科目:高中数学 来源: 题型:

已知双曲线的中心在原点,焦点F1,F2在坐标轴上,一条渐近线方程为y=x,且过点(4,-
10
)
,A点坐标为(0,2),则双曲线上距点A距离最短的点的坐标是
7
,1)
7
,1)

查看答案和解析>>

科目:高中数学 来源: 题型:

(2012•丰台区一模)已知双曲线的中心在原点,焦点在x轴上,一条渐近线方程为y=
3
4
x
,则该双曲线的离心率是
5
4
5
4

查看答案和解析>>

同步练习册答案