精英家教网 > 高中数学 > 题目详情

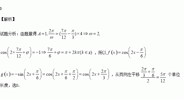
已知的图象如图所示,为得到的图象,可以将的图象( )

A.向右平移个单位长度 B.向右平移个单位长度

C.向左平移个单位长度 D.向左平移个单位长度

练习册系列答案
相关习题

科目:高中数学 来源:2016届湖南师大附中高三下学期高考模拟三文科数学试卷(解析版) 题型:选择题

直线与椭圆恒有交点,则的取值范围是( )

A. B.

C. D.

查看答案和解析>>

科目:高中数学 来源:2016届辽宁省锦州市高三下学期质量检测二理科数学试卷(解析版) 题型:填空题

的三边及面积满足,则

查看答案和解析>>

科目:高中数学 来源:2016届河南省洛阳市高三考前综合练习五文科数学试卷(解析版) 题型:解答题

已知函数

(1)当时,求函数的单调区间和极值;

(2)若关于的方程有解,求实数的取值范围.

查看答案和解析>>

科目:高中数学 来源:2016届河南省洛阳市高三考前综合练习五文科数学试卷(解析版) 题型:填空题

如图是我市某小区100户居民2015年月平均用水量(单位:)的频率分布直方图的一部分,则该小区2015年的月平均用水量的中位数的估计值为 ___________.

查看答案和解析>>

科目:高中数学 来源:2016届河南省洛阳市高三考前综合练习五文科数学试卷(解析版) 题型:选择题

在区间内随机取两个数分别记为,则使得函数有零点的概率为( )

A. B. C. D.

查看答案和解析>>

科目:高中数学 来源:2016届河南省洛阳市高三考前综合练习五理科数学试卷(解析版) 题型:解答题

已知函数为常数,为自然对数的底数)是实数集上的奇函数,函数在区间上是减函数.

(1)求实数的值;

(2)若上恒成立,求实数的取值范围;

(3)讨论关于的方程的根的个数.

查看答案和解析>>

科目:高中数学 来源:2016届河南省洛阳市高三考前综合练习五理科数学试卷(解析版) 题型:选择题

已知双曲线的一条渐近线与直线垂直,则双曲线的离心率等于( )

A. B. C. D.

查看答案和解析>>

科目:高中数学 来源:2016届海南师范大学附属中学高三临考模拟数学试卷(解析版) 题型:选择题

已知正四棱锥中,,那么当该棱锥的体积最大时,它的高为( )

A. B. C. D.

查看答案和解析>>

同步练习册答案