精英家教网 > 高中数学 > 题目详情

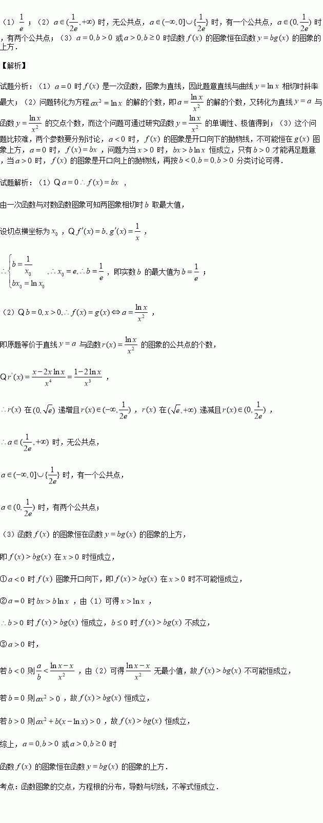
已知函数,函数

(1)当时,函数的图象与函数的图象有公共点,求实数的最大值;

(2)当时,试判断函数的图象与函数的图象的公共点的个数;

(3)函数的图象能否恒在函数的图象的上方?若能,求出的取值范围;若不能,请说明理由.

练习册系列答案
相关习题

科目:高中数学 来源:2016届云南省高三适应性月考二理科数学试卷(解析版) 题型:选择题

已知三棱锥的顶点A,B,C都在半径为2的球面上,O是球心,,当△的面积之和最大时,三棱锥的体积为( )

A、 B、 C、 D、

查看答案和解析>>

科目:高中数学 来源:2016届湖北武汉华中师大第一附中高三上期中考试理科数学试卷(解析版) 题型:选择题

已知定义在上的奇函数满足,数列的前项和为,且,则 ( )

A. B. C. D.

查看答案和解析>>

科目:高中数学 来源:2015-2016学年甘肃省高一上学期期中数学试卷(解析版) 题型:选择题

已知集合,,,则等于( )

A. B. C. D.

查看答案和解析>>

科目:高中数学 来源:2016届浙江省瑞安市高三上学期第一次四校联考理科数学试卷(解析版) 题型:填空题

设集合,若,则的取值范围为 ; 若,则的取值范围为

查看答案和解析>>

科目:高中数学 来源:2016届江苏省高三九月月考数学试卷(解析版) 题型:填空题

已知函数.若是偶函数,则

查看答案和解析>>

科目:高中数学 来源:2015-2016学年内蒙古赤峰平煤高中高二上学期月考数学试卷(解析版) 题型:填空题

在区间(0,1)中随机地取出两个数,则两数之和小于的概率是________.

查看答案和解析>>

科目:高中数学 来源:2015-2016学年辽宁师范大学附属中学高二10月月考数学试卷(解析版) 题型:选择题

设集合M={x|x2-3x-4<0},N={x|0≤x≤5},则M∩N=( )

A.(0,4] B.[0,4) C.[-1,0) D.(-1,0]

查看答案和解析>>

科目:高中数学 来源:2016届浙江宁波效实中学高三上期中考试文科数学试卷(解析版) 题型:选择题

一个几何体的三视图如图所示,则该几何体的体积是( )

A.64 B.72 C.80 D.112

查看答案和解析>>

同步练习册答案