精英家教网 > 高中数学 > 题目详情

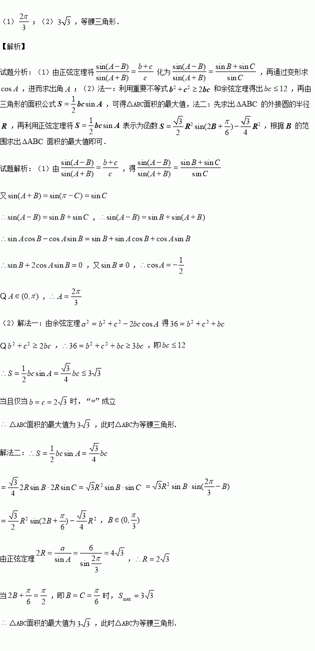
设△ABC的内角A,B,C的对边分别为a,b,c. 已知.

(1)求角的大小;

(2)当时,求△ABC面积的最大值,并指出面积最大时△ABC的形状.

练习册系列答案
相关习题

科目:高中数学 来源:2015-2016学年四川彭州中学高一重点班5月月考数学试卷(解析版) 题型:选择题

若不等式的解集是,则a,b的值为( )

A., B.,

C., D.,

查看答案和解析>>

科目:高中数学 来源:2015-2016学年福建省高一下周末练数学试卷(解析版) 题型:选择题

已知的顶点坐标为上,且,则的长为( )

A. B. C. D.

查看答案和解析>>

科目:高中数学 来源:2015-2016学年重庆十八中高一下期中理科数学试卷(解析版) 题型:选择题

设△ABC的内角的对边分别为则角B的取值范围是( )

A. B. C. D.

查看答案和解析>>

科目:高中数学 来源:2015-2016学年重庆十八中高一下期中理科数学试卷(解析版) 题型:选择题

在等比数列中,,则( )

A. 15 B. 20 C.25 D.40

查看答案和解析>>

科目:高中数学 来源:2015-2016学年广东实验中学高一下期中数学试卷(解析版) 题型:填空题

等差数列与等比数列之间是存在某种结构的类比关系的,例如从定义看,或者从通项公式看,都可以发现这种类比的原则. 按照此思想,请把下面等差数列的性质,类比到等比数列,写出相应的性质:若为等差数列,,则公差;若是各项均为正数的等比数列,,则公比_________________.

查看答案和解析>>

科目:高中数学 来源:2015-2016学年广东实验中学高一下期中数学试卷(解析版) 题型:选择题

下列命题中正确的个数是( )

;②;③; ④

A.4个 B.3个 C.2个 D.1个

查看答案和解析>>

科目:高中数学 来源:2015-2016学年江苏省高一下期中数学试卷(解析版) 题型:填空题

如图,在中,是边上的点,且,则的值为________.

查看答案和解析>>

科目:高中数学 来源:2015-2016学年黑龙江大庆市高一下期中文数学卷(解析版) 题型:选择题

设M是△ABC内一点,且△ABC的面积为1,定义f(M)=(m,n,p),其中m、n、p分别是△MBC,△MCA,△MAB的面积,若f(M)=(,x,y),则+的最小值是( )

A.8 B.9 C.16 D.18

查看答案和解析>>

同步练习册答案