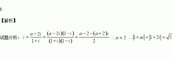
精英家教网 > 高中数学 > 题目详情

已知,若复数为纯虚数,则( )

A. B. C. D.

练习册系列答案
相关习题

科目:高中数学 来源:2015-2016学年浙江省高一下3月联考数学试卷(解析版) 题型:选择题

已知内接于单位圆,且面积为,则长为的三条线段( )

A.不能构成三角形

B.能构成一个三角形,其面积为

C.能构成一个三角形,其面积大于

D.能构成一个三角形,其面积小于

查看答案和解析>>

科目:高中数学 来源:2015-2016学年江西省抚州市高二3月月考文科数学试卷(解析版) 题型:选择题

曲线在点处的切线与直线垂直,则点的坐标为( )

A. B. C. D.

查看答案和解析>>

科目:高中数学 来源:2015-2016学年江西省抚州市高二3月月考理科数学试卷(解析版) 题型:填空题

(2x﹣)6展开式中常数项为 (用数字作答).

查看答案和解析>>

科目:高中数学 来源:2015-2016学年江西省抚州市高二3月月考理科数学试卷(解析版) 题型:选择题

设等差数列的前项和为,且满足,对任意正整数,都有,则的值为( )

A.1006 B.1007 C.1008 D.1009

查看答案和解析>>

科目:高中数学 来源:2015-2016学年广东省高二下第一次月考文科数学试卷(解析版) 题型:解答题

已知△ABC是斜三角形,内角A、B、C所对的边的长分别为a、b、c.若,

(Ⅰ)求角C;

(Ⅱ)若,且sinC+sin(B﹣A)=5sin2A,求△ABC的面积.

查看答案和解析>>

科目:高中数学 来源:2015-2016学年广东省高二下第一次月考文科数学试卷(解析版) 题型:选择题

已知满足约束条件,若的最大值为,则a的取值范围为( )

A. B. C. D.

查看答案和解析>>

科目:高中数学 来源:2015-2016学年广东省高二下第一次月考理科数学试卷(解析版) 题型:填空题

已知双曲线的左焦点在抛物线的准线上,则

查看答案和解析>>

科目:高中数学 来源:2015-2016学年福建省四地六校高二下学期第一次联考理科数学试卷(解析版) 题型:解答题

已知函数

(1)求曲线在点处的切线方程;

(2)求函数的极值。

查看答案和解析>>

同步练习册答案