精英家教网 > 高中数学 > 题目详情

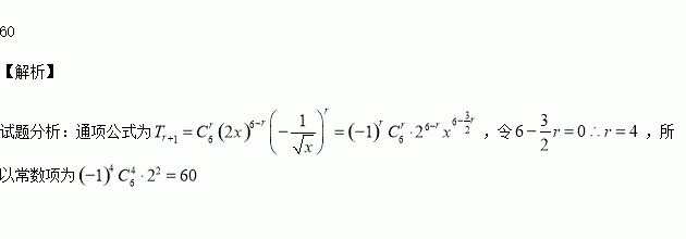
(2x﹣)6展开式中常数项为 (用数字作答).

练习册系列答案
相关习题

科目:高中数学 来源:2015-2016学年浙江省高一下3月联考数学试卷(解析版) 题型:解答题

已知数列的前项和,数列的通项为,且满足:①;②对任意正整数都有成立.

(1)求

(2)设数列的前项和为,求证:);

查看答案和解析>>

科目:高中数学 来源:2015-2016学年江西省抚州市高二3月月考文科数学试卷(解析版) 题型:解答题

如图,四棱柱的底面是菱形,底面

(Ⅰ)证明:平面

(Ⅱ)若,求点到平面的距离.

查看答案和解析>>

科目:高中数学 来源:2015-2016学年江西省抚州市高二3月月考文科数学试卷(解析版) 题型:选择题

是两个命题,若是真命题,那么( )

A.是真命题且是假命题 B.是真命题且是真命题

C.是假命题且是真命题 D.是假命题且是假命题

查看答案和解析>>

科目:高中数学 来源:2015-2016学年江西省抚州市高二3月月考理科数学试卷(解析版) 题型:解答题

去年年底,某商业集团公司根据相关评分细则,对其所属25家商业连锁店进行了考核评估.将各连锁店的评估分数按分成4组,其频率分布直方图如下图所示.集团公司依据评估得分,将这些连锁店划分为四个等级,等级评定标准如下表所示.

⑴估计该商业集团各连锁店评估得分的众数和平均数;

⑵从评估分数不小于80分的连锁店中任选2家介绍营销经验,求至少选一家等级的概率.

查看答案和解析>>

科目:高中数学 来源:2015-2016学年江西省抚州市高二3月月考理科数学试卷(解析版) 题型:选择题

用1、2、3、4、5、6组成一个无重复数字的六位数,要求三个奇数1、3、5有且只有两个相邻,则不同的排法种数为( )

A.18 B.108 C.216 D.432

查看答案和解析>>

科目:高中数学 来源:2015-2016学年江西省抚州市高二3月月考理科数学试卷(解析版) 题型:选择题

已知,若复数为纯虚数,则( )

A. B. C. D.

查看答案和解析>>

科目:高中数学 来源:2015-2016学年广东省高二下第一次月考文科数学试卷(解析版) 题型:选择题

已知向量满足,且,则的夹角为( )

A. B. C. D.

查看答案和解析>>

科目:高中数学 来源:2015-2016学年福建省四地六校高二下学期第一次联考文科数学试卷(解析版) 题型:选择题

已知是不相等的正数,,则的关系是( )

A. B. C. D.

查看答案和解析>>

同步练习册答案