精英家教网 > 高中数学 > 题目详情

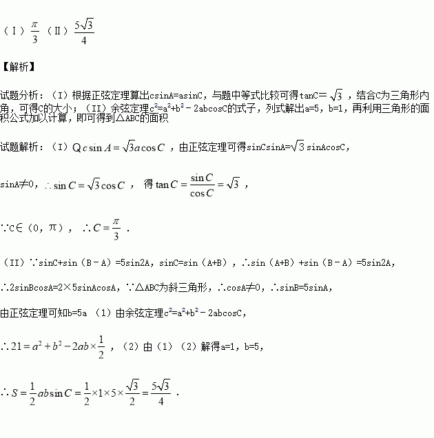
已知△ABC是斜三角形,内角A、B、C所对的边的长分别为a、b、c.若,

(Ⅰ)求角C;

(Ⅱ)若,且sinC+sin(B﹣A)=5sin2A,求△ABC的面积.

练习册系列答案
相关习题

科目:高中数学 来源:2015-2016学年浙江省高一下3月联考数学试卷(解析版) 题型:选择题

等差数列中,,那么方程的根的情况( )

A.没有实根 B.两个相等实根 C.两个不等实根 D.无法判断

查看答案和解析>>

科目:高中数学 来源:2015-2016学年江西省抚州市高二3月月考文科数学试卷(解析版) 题型:选择题

是两个命题,若是真命题,那么( )

A.是真命题且是假命题 B.是真命题且是真命题

C.是假命题且是真命题 D.是假命题且是假命题

查看答案和解析>>

科目:高中数学 来源:2015-2016学年江西省抚州市高二3月月考理科数学试卷(解析版) 题型:选择题

用1、2、3、4、5、6组成一个无重复数字的六位数,要求三个奇数1、3、5有且只有两个相邻,则不同的排法种数为( )

A.18 B.108 C.216 D.432

查看答案和解析>>

科目:高中数学 来源:2015-2016学年江西省抚州市高二3月月考理科数学试卷(解析版) 题型:选择题

已知,若复数为纯虚数,则( )

A. B. C. D.

查看答案和解析>>

科目:高中数学 来源:2015-2016学年广东省高二下第一次月考文科数学试卷(解析版) 题型:选择题

抛物线y2=2px(p>0)的焦点为F,已知点A,B为抛物线上的两个动点,且满足∠AFB=120°.过弦AB的中点M作抛物线准线的垂线MN,垂足为N,则的最小值为( )

A. B. C. 1 D.

查看答案和解析>>

科目:高中数学 来源:2015-2016学年广东省高二下第一次月考文科数学试卷(解析版) 题型:选择题

已知向量满足,且,则的夹角为( )

A. B. C. D.

查看答案和解析>>

科目:高中数学 来源:2015-2016学年广东省高二下第一次月考理科数学试卷(解析版) 题型:选择题

若实数满足,则的最大值为( )

A. B. C. D.

查看答案和解析>>

科目:高中数学 来源:2015-2016学年福建省四地六校高二下学期第一次联考理科数学试卷(解析版) 题型:选择题

已知函数对任意的满足(其中是函数的导函数),则下列不等式成立的是( )

A. B.

C. D.

查看答案和解析>>

同步练习册答案