精英家教网 > 高中数学 > 题目详情

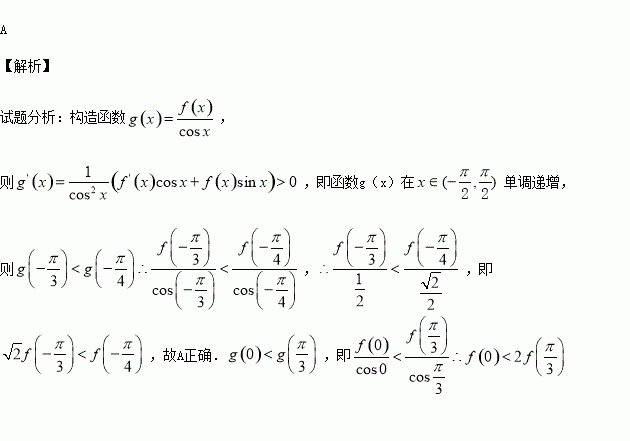
已知函数对任意的满足(其中是函数的导函数),则下列不等式成立的是( )

A. B.

C. D.

练习册系列答案
相关习题

科目:高中数学 来源:2015-2016学年广东省高二下第一次月考文科数学试卷(解析版) 题型:解答题

已知△ABC是斜三角形,内角A、B、C所对的边的长分别为a、b、c.若,

(Ⅰ)求角C;

(Ⅱ)若,且sinC+sin(B﹣A)=5sin2A,求△ABC的面积.

查看答案和解析>>

科目:高中数学 来源:2015-2016学年福建省四地六校高二下学期第一次联考文科数学试卷(解析版) 题型:解答题

(1)实数m取什么数值时,复数分别是:(1)实数? (2)虚数? (3)纯虚数?

(2)已知,(m、n∈R,i是虚数单位),求m、n的值.

查看答案和解析>>

科目:高中数学 来源:2015-2016学年福建省四地六校高二下学期第一次联考文科数学试卷(解析版) 题型:选择题

已知x与y之间的一组数据:

x

0

1

2

3

y

1

3

5

7

则y与x的线性回归方程为y=bx+a必过点( )

A .(2,2) B.(1,2) C.(1.5,0) D (1.5,4)

查看答案和解析>>

科目:高中数学 来源:2015-2016学年福建省四地六校高二下学期第一次联考理科数学试卷(解析版) 题型:解答题

已知函数

(1)求曲线在点处的切线方程;

(2)求函数的极值。

查看答案和解析>>

科目:高中数学 来源:2015-2016学年福建省四地六校高二下学期第一次联考理科数学试卷(解析版) 题型:选择题

已知命题,命题,若命题“” 是真命题,则实数的取值范围是( )

A. B. C. D.

查看答案和解析>>

科目:高中数学 来源:2015-2016学年福建省高二下期初考试文科数学试卷(解析版) 题型:解答题

已知椭圆的右焦点为,点在椭圆上.

(1)求椭圆的方程;

(2)点在圆上,且在第一象限,过作圆的切线交椭圆于,两点,求证:△的周长是定值.

查看答案和解析>>

科目:高中数学 来源:2015-2016学年福建省高二下期初考试文科数学试卷(解析版) 题型:选择题

抛物线上一点到焦点的距离是10,则( )

A. 2或8 B.1或9 C.1或8 D.2或9

查看答案和解析>>

科目:高中数学 来源:2015-2016学年广东省高一下第一次月考数学试卷(解析版) 题型:选择题

ABC中,上的一点,若,则实数的值为( )

A. B. C. D.

查看答案和解析>>

同步练习册答案