精英家教网 > 高中数学 > 题目详情

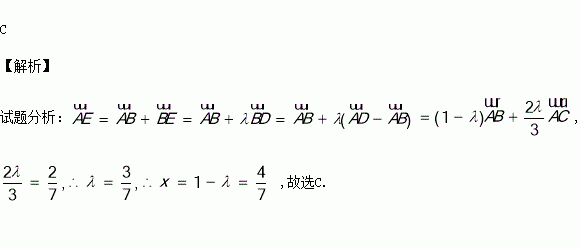
ABC中,上的一点,若,则实数的值为( )

A. B. C. D.

练习册系列答案
相关习题

科目:高中数学 来源:2015-2016学年福建省四地六校高二下学期第一次联考理科数学试卷(解析版) 题型:选择题

已知函数对任意的满足(其中是函数的导函数),则下列不等式成立的是( )

A. B.

C. D.

查看答案和解析>>

科目:高中数学 来源:2015-2016学年福建省高二下期初考试理科数学试卷(解析版) 题型:填空题

已知=

查看答案和解析>>

科目:高中数学 来源:2015-2016学年广东省高一下第一次月考数学试卷(解析版) 题型:解答题

中,角所对的边分别为且满足

(1)求角的大小;

(2)求的取值范围.

查看答案和解析>>

科目:高中数学 来源:2015-2016学年广东省高一下第一次月考数学试卷(解析版) 题型:选择题

方程 实根的个数为( )

A.6 B.5 C.4 D. 3

查看答案和解析>>

科目:高中数学 来源:2015-2016学年广东省高一下第一次月考数学试卷(解析版) 题型:选择题

函数的定义域是( )

A.(-,-1) B.(1,+

C.(-1,1)∪(1,+) D.(-,+

查看答案和解析>>

科目:高中数学 来源:2015-2016学年福建省四地六校高一下学期第一次联考数学试卷(解析版) 题型:解答题

如右图,是一个几何体的三视图,若它的体积是,求的值,并求此几何体的表面积。

查看答案和解析>>

科目:高中数学 来源:2015-2016学年重庆市高一4月月考数学试卷(解析版) 题型:解答题

已知是函数的图象上任意两点,且,点

(I)求的值;

(II)若∈N*,且n≥2,求

(III)已知其中为数列{an}的前项和,若对一切都成立,试求的取值范围.

查看答案和解析>>

科目:高中数学 来源:2015-2016学年青海西宁四中高一下第一次月考数学试卷(解析版) 题型:选择题

自然数按照下表的规律排列,则上起第2013行,左起第2014列的数为( )

A. B.

C. D.

查看答案和解析>>

同步练习册答案