精英家教网 > 高中数学 > 题目详情

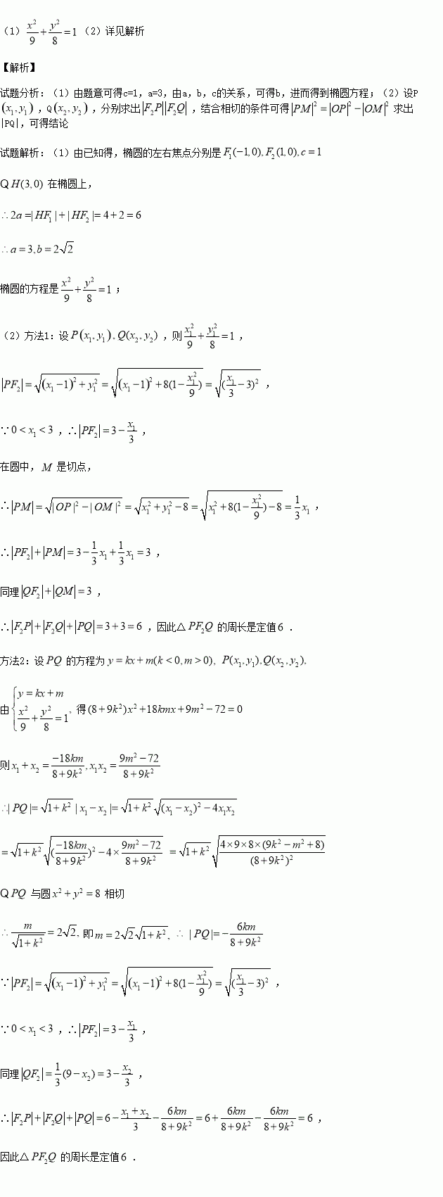
已知椭圆的右焦点为,点在椭圆上.

(1)求椭圆的方程;

(2)点在圆上,且在第一象限,过作圆的切线交椭圆于,两点,求证:△的周长是定值.

练习册系列答案
相关习题

科目:高中数学 来源:2015-2016学年广东省高二下第一次月考文科数学试卷(解析版) 题型:选择题

已知向量满足,且,则的夹角为( )

A. B. C. D.

查看答案和解析>>

科目:高中数学 来源:2015-2016学年福建省四地六校高二下学期第一次联考文科数学试卷(解析版) 题型:选择题

已知是不相等的正数,,则的关系是( )

A. B. C. D.

查看答案和解析>>

科目:高中数学 来源:2015-2016学年福建省四地六校高二下学期第一次联考理科数学试卷(解析版) 题型:选择题

已知函数对任意的满足(其中是函数的导函数),则下列不等式成立的是( )

A. B.

C. D.

查看答案和解析>>

科目:高中数学 来源:2015-2016学年福建省四地六校高二下学期第一次联考理科数学试卷(解析版) 题型:选择题

( )

A. B. C. D.

查看答案和解析>>

科目:高中数学 来源:2015-2016学年福建省高二下期初考试文科数学试卷(解析版) 题型:解答题

已知命题:方程表示焦点在轴上的椭圆;命题:点在圆内.若为真命题,为假命题,试求实数的取值范围.

查看答案和解析>>

科目:高中数学 来源:2015-2016学年福建省高二下期初考试文科数学试卷(解析版) 题型:选择题

双曲线3my2-mx2=3的一个焦点是(0,2),则m的值为( )

A.-1 B.1 C.-2 D.2

查看答案和解析>>

科目:高中数学 来源:2015-2016学年福建省高二下期初考试理科数学试卷(解析版) 题型:填空题

已知=

查看答案和解析>>

科目:高中数学 来源:2015-2016学年福建省四地六校高一下学期第一次联考数学试卷(解析版) 题型:解答题

如右图,是一个几何体的三视图,若它的体积是,求的值,并求此几何体的表面积。

查看答案和解析>>

同步练习册答案