精英家教网 > 高中数学 > 题目详情
已知函数的图象过原点,且关于点(﹣1,1)成中心对称.
(1)求函数f(x)的解析式;
(2)若数列an(n∈N*)满足:,求数列an的通项公式an
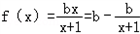
解:(1)因为函数的图象过原点,即f(0)=0,
所以c=0,即
又函数的图象关于点(﹣1,1)成中心对称,
所以b=1,∴
(2)∵
由(1)的结论开方得:
变形得=+1,
所以=1.
∴数列{}是以1为首项,1为公差的等差数列.
=1+(n﹣1)=n,即=
∴an=
练习册系列答案
相关习题

科目:高中数学 来源:2007-2008学年浙江省嘉兴一中高一(下)第一次月考数学试卷(解析版) 题型:解答题

已知函数的图象过原点,且关于点(-1,1)成中心对称.
(1)求函数f(x)的解析式;
(2)若数列an(n∈N*)满足:,求数列an的通项公式an

查看答案和解析>>

科目:高中数学 来源:2011-2012学年广东省外语外贸大学附设外语学校高三(上)数学寒假作业3(文科)(解析版) 题型:解答题

已知函数的图象过原点,且关于点(-1,1)成中心对称.
(1)求函数f(x)的解析式;
(2)若数列an(n∈N*)满足:,求数列an的通项公式an

查看答案和解析>>

科目:高中数学 来源:2013年四川省自贡市高考数学一模试卷(理科)(解析版) 题型:解答题

已知函数的图象过原点,f(x)=F′(x),g(x)=f′(x),f(1)=0,函数y=f(x)与y=g(x)的图象交于不同的两点A、B.
(Ⅰ)若y=F(x)在x=-1处取得极大值2,求函数y=F(x)的单调区间;
(Ⅱ)若使g(x)=0的x值满足,求线段AB在x轴上的射影长的取值范围.

查看答案和解析>>

科目:高中数学 来源:2012-2013学年贵州黔东南州高三第二次模拟(5月)考试文科数学试卷(解析版) 题型:填空题

已知函数的图象过原点,且在原点处的切线斜率是,则不等式组所确定的平面区域在内的面积为         .

 

查看答案和解析>>

科目:高中数学 来源:2010年黑龙江省高二下学期期中考试数学(理) 题型:解答题

1.         (本小题满分10分)已知函数的图象过原点,且处取得极值.

(Ⅰ)求函数的单调区间及极值;

(Ⅱ)若函数的图象有且仅有一个公共点,求实数的取值范围.

 

查看答案和解析>>

同步练习册答案