精英家教网 > 高中数学 > 题目详情

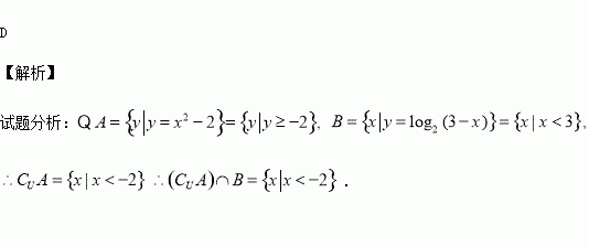
设全集集合( )

A. B. C. D.

练习册系列答案
相关习题

科目:高中数学 来源:2015-2016学年湖北省高一上学期期中数学试卷(解析版) 题型:解答题

(本大题满分12分)定义在上的函数满足:①对任意,都有成立; ②上是奇函数,且

(1)求证:上是单调递增函数;

(2)解关于不等式

(3)若对所有的恒成立,求实数的取值范围.

查看答案和解析>>

科目:高中数学 来源:2016届北京市海淀区高三上学期期中考试理科数学试卷(解析版) 题型:解答题

已知x为实数,用表示不超过x的最大整数,例如对于函数f(x),若存在,使得 ,则称函数函数.

(Ⅰ)判断函数 是否是函数;(只需写出结论)

(Ⅱ)设函数f(x)是定义R在上的周期函数,其最小正周期为T,若f(x)不是函数,求T的最小值.

(Ⅲ)若函数函数,求a的取值范围.

查看答案和解析>>

科目:高中数学 来源:2016届浙江省嘉兴市高三上学期能力测试文科数学试卷(解析版) 题型:选择题

已知平面向量满足,且( )

A.若,则

B.若,则

C.若,则

D.若,则

查看答案和解析>>

科目:高中数学 来源:2016届浙江省嘉兴市高三上学期能力测试理科数学试卷(解析版) 题型:选择题

直线的倾斜角是( )

A. B. C. D.

查看答案和解析>>

科目:高中数学 来源:2016届黑龙江省哈尔滨市高三12月月考文科数学试卷(解析版) 题型:选择题

若函数的最小值为,则实数a的取值范围是( )

A. B. C. D.

查看答案和解析>>

科目:高中数学 来源:2016届河南省郑州市高三上学期联考理科数学试卷(解析版) 题型:解答题

某超市从2014年甲、乙两种酸奶的日销售量(单位:箱)的数据中分别随机抽取100个,并按[0,10],(10,20],(20,30],(30,40],(40,50]分组,得到频率分布直方图如下:

假设甲、乙两种酸奶独立销售且日销售量相互独立.

(Ⅰ)写出频率分布直方图(甲)中的a的值;记甲种酸奶与乙种酸奶日销售量(单位:箱)的方差分别为,试比较的大小;(只需写出结论)

(Ⅱ)估计在未来的某一天里,甲、乙两种酸奶的销售量恰有一个高于20箱且另一个不高于20箱的概率;

(Ⅲ)记X表示在未来3天内甲种酸奶的日销售量不高于20箱的天数,以日销售量落入各组的频率作为概率,求X的数学期望.

查看答案和解析>>

科目:高中数学 来源:2015-2016学年广西陆川县中学高一上学期周测九数学试卷(解析版) 题型:选择题

用一个平行于棱锥底面的平面截这个棱锥,截得的棱台上、下底面面积比为,截去的棱锥的高是,则棱台的高是( )

A. B. C. D.

查看答案和解析>>

科目:高中数学 来源:2016上海复旦大学附中届高三上期中文科数学试卷(解析版) 题型:解答题

(本题满分16分,第1小题满分4分,第2小题满分6分,第3小 题满分6分. )

已知椭圆的左、右焦点分别为, 点是椭圆的一个顶点,△是等腰直角三角形.

(1)求椭圆的方程;

(2)设点是椭圆上一动点,求线段的中点的轨迹方程;

(3)过点分别作直线交椭圆于两点,设两直线的斜率分别为

,探究:直线是否过定点,并说明理由.

查看答案和解析>>

同步练习册答案