精英家教网 > 高中数学 > 题目详情
已知集合是满足下列性质的函数f(x)的全体:在定义域D内存在x,使得f(x+1)=f(x)+f(1)成立.
(1)函数是否属于集合M?说明理由;
(2)若函数f(x)=kx+b属于集合M,试求实数k和b的取值范围;
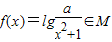
(3)设函数属于集合M,求实数a的取值范围.
【答案】分析:(1)做出所给的函数的定义域,假设这个函数属于集合,则得到方程x2+x+1=0,因为此方程无实数解,得到不存在x使得等式成立,所以函数
(2)做出函数的定义域R,根据f(x)=kx+b∈M,则存在实数x,使得k(x+1)+b=kx+b+k+b,解得b=0,得到实数k和b的取得范围是k∈R,b=0
(3)根据所给的函数符合集合的条件,写出符合条件的关系式,得到一个关于自变量的一元二次方程,根据有解得到判别式大于0,得到结果.
解答:解:(1)根据题意得到D=(-∞,0)∪(0,+∞),若
则存在非零实数x,使得,…(2分)
即x2+x+1=0,…(3分)
因为此方程无实数解,所以函数.…(4分)
(2)D=R,由f(x)=kx+b∈M,存在实数x,使得k(x+1)+b=kx+b+k+b,…(6分)
解得b=0,…(7分)
所以,实数k和b的取得范围是k∈R,b=0.…(8分)
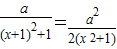
(3)由题意,a>0,D=R.由,存在实数x
使得,…(10分)
所以,
化简得(a2-2a)x2+2a2x+2a2-2a=0,…(12分)
当a=2时,,符合题意.…(13分)
当a>0且a≠2时,由△≥0得4a4-8(a2-2a)(a2-a)≥0,
化简得a2-6a+4≤0,
解得.…(15分)
综上,实数a的取值范围是.…(16分)
点评:本题考查一元二次方程根与系数的关系,本题解题的关键是根据所给的满足集合的条件写出关于变量的关系式进行求解,本题是一个难题,难点在于理解题意.
练习册系列答案
相关习题

科目:高中数学 来源: 题型:

已知集合是满足下列性质的函数f(x)的全体:在定义域D内存在x0,使得f(x0+1)=f(x0)+f(1)成立.
(1)函数f(x)=
1
x
是否属于集合M?说明理由;
(2)若函数f(x)=kx+b属于集合M,试求实数k和b的取值范围;
(3)设函数f(x)=lg
a
x2+1
属于集合M,求实数a的取值范围.

查看答案和解析>>

科目:高中数学 来源:2011年广东省揭阳市第一中学高一第一学期期末数学试卷 题型:解答题

(本小题满分14分)
已知集合是满足下列性质的函数的全体:在定义域内存在,使得成立。
(Ⅰ)函数是否属于集合?说明理由;
(Ⅱ)设函数,求的取值范围;
(Ⅲ)设函数图象与函数的图象有交点,证明:函数.

查看答案和解析>>

科目:高中数学 来源:2015届江西省赣州市十一县高一上学期期中考数学试卷(解析版) 题型:解答题

已知集合是满足下列性质的函数的全体:在定义域内存在,使得成立。

(1)函数是否属于集合?说明理由;

(2)设函数,求实数的取值范围.

 

查看答案和解析>>

科目:高中数学 来源:2014届广东省高一下期中理科数学试卷(解析版) 题型:解答题

 (本小题满分14分)

已知集合是满足下列性质的函数的全体, 存在非零常数, 对任意, 有成立.

(1) 函数是否属于集合?说明理由;

(2) 设, 且, 已知当时, , 求当时, 的解析式.

(3)若函数,求实数的取值范围.

 

查看答案和解析>>

科目:高中数学 来源:2010-2011学年河南省高三第三次考试理科数学卷 题型:解答题

(本小题满分10分)已知集合是满足下列性质的函数的全体:在定义域内存在,使得成立.

(1)试判断函数是否属于集合?请说明理由;

(2)设函数,求实数的取值范围.

 

查看答案和解析>>

同步练习册答案