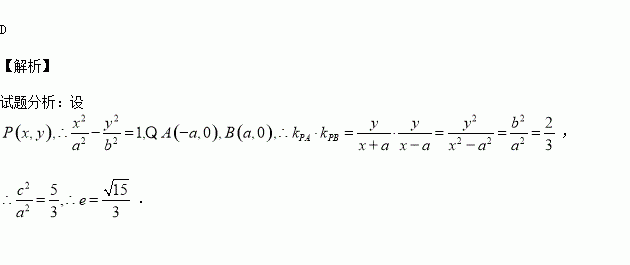
精英家教网 > 高中数学 > 题目详情

已知是双曲线上不同的三点,且连线经过坐标原点,若直线的斜率乘积,则该双曲线的离心率为( )

A. B. C. D.

练习册系列答案
相关习题

科目:高中数学 来源:2015-2016学年河北省高二下期中文科数学试卷(解析版) 题型:填空题

已知正三棱锥,点都在半径为的球面上,若两两互相垂直,则球心到截面的距离为________.

查看答案和解析>>

科目:高中数学 来源:2015-2016学年山西省高二下期中文科数学试卷(解析版) 题型:解答题

通过随机询问某校名高中学生在购买食物时是否看营养说明,得到如下的列联表:

性别与看营养说明列联表 单位:名

(1)从这名女生中按是否看营养说明采取分层抽样,抽取一个容量为的样本,问样本中看与不看营养说明的女生各有多少名?

(2)根据以上列联表,能否在犯错误的概率不超过的前提下认为性别与是否看营养说明之间有关系?

下面的临界值表供参考:

(参考公式:,其中

查看答案和解析>>

科目:高中数学 来源:2015-2016学年山西省高二下期中文科数学试卷(解析版) 题型:选择题

下列三句话按“三段论”模式排列顺序正确的是( )

)是三角函数;②三角函数是周期函数;③()是周期函数.

A.①②③ B.②①③ C.②③① D.③②①

查看答案和解析>>

科目:高中数学 来源:2015-2016学年山西省高二下期中理科数学试卷(解析版) 题型:解答题

已知复数满足为虚数单位).

(1)求复数,以及复数的实部与虚部;

(2)求复数的模.

查看答案和解析>>

科目:高中数学 来源:2015-2016学年山西省高二下期中理科数学试卷(解析版) 题型:选择题

函数有三个相异的零点,则的取值范围是( )

A. B. C. D.

查看答案和解析>>

科目:高中数学 来源:2015-2016学年河北省高二下期中理科数学试卷(解析版) 题型:解答题

已知函数.

(1)曲线在点处的切线为,求证除点外,曲线上的所有点都在直线的上方;

(2)若上恒成立,求的最小值.

查看答案和解析>>

科目:高中数学 来源:2015-2016学年河北省高二下期中理科数学试卷(解析版) 题型:选择题

抛掷红、蓝两颗骰子,若已知蓝骰子点数为3或6时,则两颗骰子点数之和大于8的概率为( )

A. B. C. D.

查看答案和解析>>

科目:高中数学 来源:2015-2016学年安徽黄山屯溪一中高二下期中数学试卷(解析版) 题型:选择题

设函数是定义在上的函数,的导函数,则“是函数的极值点”是“”的( )

A. 充分不必要条件 B. 必要而不充分条件

C. 充要条件 D. 既不充分也不必要条件

查看答案和解析>>

同步练习册答案