精英家教网 > 高中数学 > 题目详情

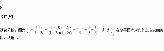
已知是虚数单位,设复数,则在复平面内对应的点在( )

A.第一象限 B.第二象限 C.第三象限 D.第四象限

练习册系列答案
相关习题

科目:高中数学 来源:2015-2016学年江苏省盱眙、洪泽等校高一上学期期中联考数学试卷(解析版) 题型:填空题

若函数为偶函数,则的值为

查看答案和解析>>

科目:高中数学 来源:2016届中国人大附中高三上期中检测文科数学试卷(解析版) 题型:解答题

已知数列是等差数列,数列是公比大于零的等比数列,且

(1)求数列的通项公式;

(2)记,求数列的前n项和

查看答案和解析>>

科目:高中数学 来源:2016届山东省高三上开学考试文科数学试卷(解析版) 题型:选择题

函数)对任意都有,则等于( )

A. B. C. D.

查看答案和解析>>

科目:高中数学 来源:2016届山东省高三上开学考试理科数学试卷(解析版) 题型:选择题

某防疫站对学生进行身体健康调查,欲采用分层抽样的办法抽取样本.某中学共有学生名,抽取了一个容量为的样本,样本中男生人,则该中学共有女生( )

A.人 B.人 C.人 D.

查看答案和解析>>

科目:高中数学 来源:2016届湖南省六校高三12月联考理科数学卷(解析版) 题型:选择题

已知双曲线)的左、右焦点分别为,以为直径的圆与双曲线渐近线的一个交点为,则此双曲线的方程为( )

A. B.

C. D.

查看答案和解析>>

科目:高中数学 来源:2016届安徽省等高三第三次联考文科数学卷(解析版) 题型:选择题

,则=( )

A. B. C. D.

查看答案和解析>>

科目:高中数学 来源:2015-2016学年浙江省高二上期中数学试卷(解析版) 题型:选择题

如图,四棱柱的底面为平行四边形,已知,则用向量可表示向量为( )

A. B. C. D.

查看答案和解析>>

科目:高中数学 来源:2015-2016学年上海师大附中高二上期中数学试卷(解析版) 题型:填空题

直线Ax+3y+C=0与直线2x-3y+4=0的交点在y轴上,则C的值为________.

查看答案和解析>>

同步练习册答案