精英家教网 > 高中数学 > 题目详情

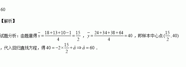
某单位为了了解用电量(度)与气温(度)之间的关系,随机统计了某4天的用电量与当天气温,并制作了如下的对照表

由表中数据,得回归直线方程,若,则________.

练习册系列答案
相关习题

科目:高中数学 来源:2016届四川省高三下三诊考试理科数学试卷(解析版) 题型:填空题

已知函数,其中常数,给出下列结论:

上的奇函数;

②当时,对任意恒成立;

的图象关于对称;

④若对,使得,则

其中正确的结论是 .(请填上你认为所有正确结论的序号)

查看答案和解析>>

科目:高中数学 来源:2016届河南省商丘市高三第三次模拟文科数学试卷(解析版) 题型:解答题

已知四边形为圆的内接四边形,且,其对角线相交于点.过点作圆的切线交的延长线于点.

(Ⅰ)求证:

(Ⅱ)若,求证:.

查看答案和解析>>

科目:高中数学 来源:2016届河南省商丘市高三第三次模拟文科数学试卷(解析版) 题型:选择题

要计算的结果,下面程序框图中的判断框内可以填( )

A. B. C. D.

查看答案和解析>>

科目:高中数学 来源:2015-2016学年河北石家庄辛集中学高二下期中理数学卷(解析版) 题型:解答题

在直角坐标系xOy中.直线,圆:(x-1)2+(y-2)2=1,以坐标原点为极点, x轴的正半轴为极轴建立极坐标系.

(1)求的极坐标方程;

(2)若直线的极坐标方程为,设的交点为,求△C2MN的面积.

查看答案和解析>>

科目:高中数学 来源:2015-2016学年河北石家庄辛集中学高二下期中理数学卷(解析版) 题型:选择题

参数方程为参数)的普通方程为( )

A. B.

C. D.

查看答案和解析>>

科目:高中数学 来源:2015-2016学年河北石家庄辛集中学高二下期中理数学卷(解析版) 题型:选择题

已知点P的极坐标是(1,),则过点P且垂直极轴的直线方程是( )

A. B. C. D.

查看答案和解析>>

科目:高中数学 来源:2015-2016学年山东省高二下期中文科数学试卷(解析版) 题型:选择题

某产品的广告费用与销售额的统计数据如下表:

由上表求得回归方程,当广告费用为3万元时销售额为( )

A.39万元 B.38万元 C.38.5万元 D.37.3万元

查看答案和解析>>

科目:高中数学 来源:2016届海南师大附中高三第九次月考理科数学试卷(解析版) 题型:填空题

“五一”黄金周将至,小明一家 口决定外出游玩,购买的车票分布如下图:

窗口 座 走廊 座 窗口

其中爷爷喜欢走动,需要坐靠近走廊的位置;妈妈需照顾妹妹,两人必须坐在一起,则座位的安排方式一共有 种.

查看答案和解析>>

同步练习册答案