精英家教网 > 高中数学 > 题目详情
如图,正三棱柱ABC-A1B1C1的底面边长为a,侧棱长为a,
(1)建立适当的坐标系,并写出点A、B、A1、C1的坐标;
(2)求AC1与侧面ABB1A1所成的角。
解:(1)如图,以点A为坐标原点O,以AB所在直线为Oy轴,
以AA1所在直线为Oz轴,以经过原点且
与平面垂直的直线为Ox轴,
建立空间直角坐标系,
由已知,


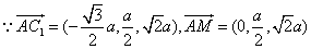
(2)坐标系如图,取的中点M,
于是有
,有

由于
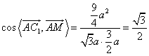
所以,
∴AC1与AM所成的角就是AC1与侧面所成的角,





所以,AC1与AM所成的角,
即AC1与侧面所成的角为30°。
练习册系列答案
相关习题

科目:高中数学 来源: 题型:

精英家教网如图,正三棱柱ABC-A1B1C1各棱长都等于a,E是BB1的中点.
(1)求直线C1B与平面A1ABB1所成角的正弦值;
(2)求证:平面AEC1⊥平面ACC1A1
(3)求点C1到平面AEC的距离.

查看答案和解析>>

科目:高中数学 来源: 题型:

精英家教网如图,正三棱柱ABC-A1B1C1的各棱长都2,E,F分别是AB,A1C1的中点,则EF的长是(  )
A、2
B、
3
C、
5
D、
7

查看答案和解析>>

科目:高中数学 来源: 题型:

如图,正三棱柱ABC-A1B1C1的所有棱长都为2,D为CC1中点.
(Ⅰ)求证:AB1⊥平面A1BD;
(Ⅱ)求二面角A-A1D-B的正弦值.

查看答案和解析>>

科目:高中数学 来源: 题型:

(2013•郑州二模)如图,正三棱柱ABC-A1B1C1的所有棱长都为2,D为CC1中点.
(Ⅰ)求证:AB1⊥面A1BD;
(Ⅱ)设点O为AB1上的动点,当OD∥平面ABC时,求
AOOB1
的值.

查看答案和解析>>

科目:高中数学 来源: 题型:

精英家教网如图,正三棱柱ABC-A1B1C1中(注:底面为正三角形且侧棱与底面垂直),BC=CC1=2,P,Q分别为BB1,CC1的中点.
(Ⅰ)求多面体ABC-A1PC1的体积;
(Ⅱ)求A1Q与BC1所成角的大小.

查看答案和解析>>

同步练习册答案