精英家教网 > 高中数学 > 题目详情

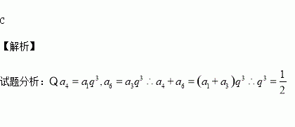
已知等比数列 中,,则该数列的公比为 ( )

A.2 B.1 C. D.

练习册系列答案
相关习题

科目:高中数学 来源:2015-2016学年山东省高二上学情调查理科数学卷(解析版) 题型:选择题

命题“”的否定是( )

A.

B.

C.

D.

查看答案和解析>>

科目:高中数学 来源:2016届浙江省临海市高三上第三次统练文科数学试卷(解析版) 题型:选择题

中,已知是斜边上的动点(除端点外),设到两直角边的距离分别为,则的最小值为( )

A. B. C. D.

查看答案和解析>>

科目:高中数学 来源:2015-2016学年河北省邯郸市等校高二上学期期中理科数学试卷(解析版) 题型:填空题

若实数满足,则目标函数的取值范围是_______.

查看答案和解析>>

科目:高中数学 来源:2015-2016学年山东省高二上学期期中考试文科数学试卷(解析版) 题型:选择题

已知实数满足如果目标函数 的最小值为-1,则实数等于( )

A.7 B.5 C.4 D.3

查看答案和解析>>

科目:高中数学 来源:2015-2016学年湖北省等高二上学期期中联考文科数学试卷(解析版) 题型:选择题

某校1000名学生中,O型血有450人,A型血有200人,B型血有200人,AB型血有150人,为了研究血型与血弱的关系,从中抽取容量为40的样本,按照分层抽样的方法抽取样本,则O型血,A型血,B型血,AB型血的人要分别抽取的人数为( )

A.16、10、10、4 B.18、8、8、6

C.18、10、10、2 D.15、8、8、9

查看答案和解析>>

科目:高中数学 来源:2015-2016学年江苏省沭阳县高一上学期期中考试数学试卷(解析版) 题型:填空题

若函数为奇函数,则实数的值为

查看答案和解析>>

科目:高中数学 来源:2016届重庆市高三12月月考理科数学试卷(解析版) 题型:解答题

已知数列的前n项和为,且

(1)求出数列的通项公式;

(2)设数列满足,若对于任意正整数n都成立,求实数t的取值范围.

查看答案和解析>>

科目:高中数学 来源:2016届山东省枣庄市高三12月月考文科数学试卷(解析版) 题型:解答题

已知数列的各项均不为0,其前n项和为,且满足

(1)求的值;

(2)求证是等差数列;

(3)若,求数列的通项公式,并求

查看答案和解析>>

同步练习册答案