精英家教网 > 高中数学 > 题目详情

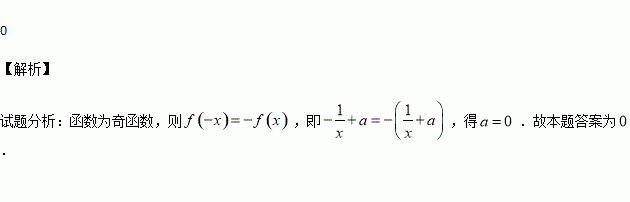
若函数为奇函数,则实数的值为

练习册系列答案
相关习题

科目:高中数学 来源:2016届河北省高三上学期期中考试文科数学试卷(解析版) 题型:选择题

已知函数,则的最小值等于( ).

A. B. C. D.

查看答案和解析>>

科目:高中数学 来源:2015-2016学年湖北航天高中等校高二上学期期中联考数学试卷(解析版) 题型:选择题

某学校高中部组织赴美游学活动,其中高一240人,高二260人,高三300人,现需按年级抽样分配参加名额40人,高二参加人数为

A.12 B.13 C.14 D.15

查看答案和解析>>

科目:高中数学 来源:2015-2016学年山东省高二上学期期中考试理科数学试卷(解析版) 题型:选择题

已知等比数列 中,,则该数列的公比为 ( )

A.2 B.1 C. D.

查看答案和解析>>

科目:高中数学 来源:2015-2016学年浙江省温州市高二上学期期中考试数学试卷(解析版) 题型:填空题

在平面直角坐标系内,到点的距离之和最小的点的坐标是_____ __.

查看答案和解析>>

科目:高中数学 来源:2015-2016学年湖南省高二上学期期中考试文科数学试卷(解析版) 题型:选择题

已知,“”是“函数的图像恒在轴上方”的( )

A.充分非必要条件

B.必要非充分条件

C.充要条件

D.既非充分又非必要条件

查看答案和解析>>

科目:高中数学 来源:2015-2016学年山东省枣庄市高二10月学情调查数学试卷(解析版) 题型:选择题

在等差数列中,若等于 ( )

A.16 B.18 C.20 D.22

查看答案和解析>>

科目:高中数学 来源:2016届云南师大附中高考适应性月考四文科数学试卷(解析版) 题型:解答题

在平面直角坐标系中,圆C的参数方程为,(t为参数),在以原点O为极点,x轴的非负半轴为极轴建立的极坐标系中,直线的极坐标方程为,A,B两点的极坐标分别为

(1)求圆C的普通方程和直线的直角坐标方程;

(2)点P是圆C上任一点,求面积的最小值.

查看答案和解析>>

科目:高中数学 来源:2016届河北省邯郸市高三一轮收官考试一理科数学试卷(解析版) 题型:填空题

如图,在四面体中,平面是边长为的等边三角形.若,则四面体外接球的表面积为

查看答案和解析>>

同步练习册答案