精英家教网 > 高中数学 > 题目详情

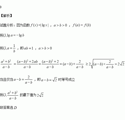
已知函数,则的最小值等于( ).

A. B. C. D.

练习册系列答案
相关习题

科目:高中数学 来源:2016届山西省高三上期中文科数学试卷(解析版) 题型:解答题

已知函数).

(1)若,求函数的极值和单调区间;

(2)若在区间上至少存在一点,使得成立,求实数的取值范围.

查看答案和解析>>

科目:高中数学 来源:2015-2016学年湖南株洲二中高二上第三次月考文数学卷(解析版) 题型:选择题

某几何体的三视图如图所示(单位:),则该几何体的体积是( )

A. B. C. D.

查看答案和解析>>

科目:高中数学 来源:2015-2016学年山东省高二上学情调查理科数学卷(解析版) 题型:选择题

命题“”的否定是( )

A.

B.

C.

D.

查看答案和解析>>

科目:高中数学 来源:2016届河北省高三上学期期中考试文科数学试卷(解析版) 题型:填空题

已知一个棱锥的三视图如下,根据图中标出的尺寸(单位:cm),可得这个棱锥的侧面积是

查看答案和解析>>

科目:高中数学 来源:2016届河北省高三上学期期中考试理科数学试卷(解析版) 题型:选择题

在数列{an}中,若对任意的n均有an+an+1+an+2为定值(n∈N*),且,则数列{an}的前100项的和S100=( )

A.132 B.299 C.68 D.99

查看答案和解析>>

科目:高中数学 来源:2015-2016学年湖南师大附中高二上第二次段测理科数学卷(解析版) 题型:选择题

给出以下命题①若a>b>0,d<c<0,;②如果,则关于x的实系数二次方程中至少有一个方程有实根;③若,则;④当时,无最大值.其中真命题的序号是( )

A.①② B.②③ C.①②③ D.①③④

查看答案和解析>>

科目:高中数学 来源:2016届浙江省临海市高三上第三次统练文科数学试卷(解析版) 题型:选择题

中,已知是斜边上的动点(除端点外),设到两直角边的距离分别为,则的最小值为( )

A. B. C. D.

查看答案和解析>>

科目:高中数学 来源:2015-2016学年江苏省沭阳县高一上学期期中考试数学试卷(解析版) 题型:填空题

若函数为奇函数,则实数的值为

查看答案和解析>>

同步练习册答案