精英家教网 > 高中数学 > 题目详情

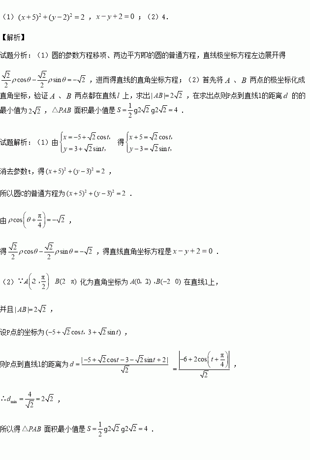
在平面直角坐标系中,圆C的参数方程为,(t为参数),在以原点O为极点,x轴的非负半轴为极轴建立的极坐标系中,直线的极坐标方程为,A,B两点的极坐标分别为

(1)求圆C的普通方程和直线的直角坐标方程;

(2)点P是圆C上任一点,求面积的最小值.

练习册系列答案
相关习题

科目:高中数学 来源:2016届浙江省临海市高三上第三次统练文科数学试卷(解析版) 题型:选择题

中,已知是斜边上的动点(除端点外),设到两直角边的距离分别为,则的最小值为( )

A. B. C. D.

查看答案和解析>>

科目:高中数学 来源:2015-2016学年江苏省沭阳县高一上学期期中考试数学试卷(解析版) 题型:填空题

若函数为奇函数,则实数的值为

查看答案和解析>>

科目:高中数学 来源:2016届重庆市高三12月月考理科数学试卷(解析版) 题型:解答题

已知数列的前n项和为,且

(1)求出数列的通项公式;

(2)设数列满足,若对于任意正整数n都成立,求实数t的取值范围.

查看答案和解析>>

科目:高中数学 来源:2016届重庆市高三12月月考理科数学试卷(解析版) 题型:选择题

在区间内任取两个数,则满足概率是( )

A. B. C. D.

查看答案和解析>>

科目:高中数学 来源:2016届云南师大附中高考适应性月考四文科数学试卷(解析版) 题型:填空题

点P为双曲线右支上的一点,其右焦点为,若直线的斜率为

M为线段的中点,且,则该双曲线的离心率为

查看答案和解析>>

科目:高中数学 来源:2016届辽宁省大连市高三12月月考文科数学试卷(解析版) 题型:解答题

如图,四棱锥P﹣ABCD中,PA⊥底面ABCD,PA=2,BC=CD=2,∠ACB=∠ACD=

(1)求证:BD⊥平面PAC;

(2)若侧棱PC上的点F满足PF=7FC,求三棱锥P﹣BDF的体积.

查看答案和解析>>

科目:高中数学 来源:2016届山东省枣庄市高三12月月考文科数学试卷(解析版) 题型:解答题

已知数列的各项均不为0,其前n项和为,且满足

(1)求的值;

(2)求证是等差数列;

(3)若,求数列的通项公式,并求

查看答案和解析>>

科目:高中数学 来源:2016届福建省高三上第二次月考文科数学试卷(解析版) 题型:选择题

奇函数的定义域为R.若为偶函数,且,则( )

A.-2 B.-1 C.0 D.1

查看答案和解析>>

同步练习册答案