精英家教网 > 高中数学 > 题目详情

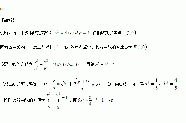
已知双曲线的一个焦点与抛物线的焦点重合,且双曲线的离心率等于,则该双曲线的方程为( )

A. B. C. D.

练习册系列答案
相关习题

科目:高中数学 来源:2015-2016学年广东省普宁市高一上学期期中考试数学试卷(解析版) 题型:选择题

( )

A.0 B.1 C.2 D.3

查看答案和解析>>

科目:高中数学 来源:2016届重庆市高三上学期期中文科数学试卷(解析版) 题型:选择题

若函数的零点与的零点之差的绝对值不超过,则可以是( )

A. B. C. D.

查看答案和解析>>

科目:高中数学 来源:2015-2016学年河北省高一上学期期中数学试卷(解析版) 题型:选择题

函数的单调增区间是

A. B. C. D.

查看答案和解析>>

科目:高中数学 来源:2015-2016学年河北省高二上学期期中数学试卷(解析版) 题型:选择题

在等比数列中,已知,则

A. B. C. D.

查看答案和解析>>

科目:高中数学 来源:2016届浙江省高三期中文科数学试卷(解析版) 题型:选择题

已知△ABC的三边a,b,c所对角分别为A,B,C,且,则cosB的值为( )

A. B. C. D.

查看答案和解析>>

科目:高中数学 来源:2016届江西省高三上学期期中文科数学试卷(解析版) 题型:解答题

(本小题满分10分)已知集合

(1)若,求出实数的值;

(2)若命题命题的充分不必要条件,求实数的取值范围.

【答案】(1);(2)

【解析】

试题分析:(1)分求得集合,再利用求得实数的值;(2)由可得,从而可将问题转化为集合间的关系来求解.

试题解析:(1)当

显然

时,

(2)

时, 解得

时,

综上的充分不必要条件,实数的取值范围是

考点:1、集合间的关系;2、充分条件与必要条件的判定.

【题型】解答题
【适用】一般
【标题】【百强校】2016届江西省临川一中高三上学期期中文科数学试卷(带解析)
【关键字标签】
【结束】
 

(本小题满分12分)设向量,其中,已知函数的最小正周期为

(1)求的对称中心;

(2)若是关于的方程的根,且,求的值.

查看答案和解析>>

科目:高中数学 来源:2016届吉林省高三上学期二模文科数学试卷(解析版) 题型:填空题

对于函数定义域中的任意,有如下结论:

上述结论中正确结论的序号是

查看答案和解析>>

科目:高中数学 来源:2015-2016学年江苏启东中学高二上学期期中文科数学试卷(解析版) 题型:填空题

抛物线的准线方程为,则焦点坐标是

查看答案和解析>>

同步练习册答案