精英家教网 > 高中数学 > 题目详情

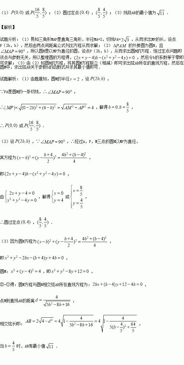
已知圆,点P是直线上的一动点,过点P作圆M的切线PA,PB,切点为A,B.

(1)当切线PA的长度为时,求点P的坐标;

(2)若的外接圆为圆N,试问:当P在直线上运动时,圆N是否过定点?若存在,求出所有的定点的坐标;若不存在,说明理由.

(3)求线段AB长度的最小值.

练习册系列答案
相关习题

科目:高中数学 来源:2015-2016学年黑龙江哈尔滨师大附中高二上期中理数学卷(解析版) 题型:解答题

如图,已知抛物线的焦点为F过点的直线交抛物线于A,B两点,直线AF,BF分别与抛物线交于点M,N .

(Ⅰ)求的值;

(Ⅱ)记直线MN的斜率为,直线AB的斜率为 证明:为定值

查看答案和解析>>

科目:高中数学 来源:2015-2016学年陕西省西安市高二上学期期中考试文科数学试卷(解析版) 题型:选择题

某人向正东方向走x km后,向右转150°,然后朝新方向走3 km,结果他离出发点恰好是 km,那么x的值为( )

A. B.2 C.或2 D.3

查看答案和解析>>

科目:高中数学 来源:2016届四川省成都市高三11月段测三理科数学试卷(解析版) 题型:选择题

抛物线y= 2x2的焦点坐标是( )

A.(0,) B.(0,) C.(,0) D.(,0)

查看答案和解析>>

科目:高中数学 来源:2016届江西省高三上学期第三次考试理科数学试卷(解析版) 题型:解答题

为实数,函数

(Ⅰ)当时,求上的最大值;

(Ⅱ)设函数,当有两个极值点时,总有,求实数的值。(的导函数)

查看答案和解析>>

科目:高中数学 来源:2015-2016学年浙江省高二上学期期中数学试卷(解析版) 题型:选择题

下列不等式中,与不等式解集相同的是( )

A.

B.

C.

D.

查看答案和解析>>

科目:高中数学 来源:2015-2016学年江苏省高一上学期期中数学试卷(解析版) 题型:解答题

已知tanα是关于x的方程的一个实根,且α是第三象限角.

(1)求的值;

(2)求的值.

查看答案和解析>>

科目:高中数学 来源:2015-2016学年安徽师大附中高二上学期期中理科数学试卷(解析版) 题型:填空题

以下几个命题中,其中真命题的序号为( )

①设A、B为两个定点,k为非零常数,,则动点P的轨迹为双曲线;

②过定圆C上一定点A作圆的动弦AB,O为坐标原点,若,则动点P的轨迹为椭圆;

③双曲线有相同的焦点;

④在平面内,到定点的距离与到定直线的距离相等的点的轨迹是抛物线.

A.①④ B.②③ C.③④ D.③

查看答案和解析>>

科目:高中数学 来源:2015-2016学年山东省高一上学期期中模块考试数学试卷(解析版) 题型:填空题

函数 )恒过定点的坐标为

查看答案和解析>>

同步练习册答案