精英家教网 > 高中数学 > 题目详情

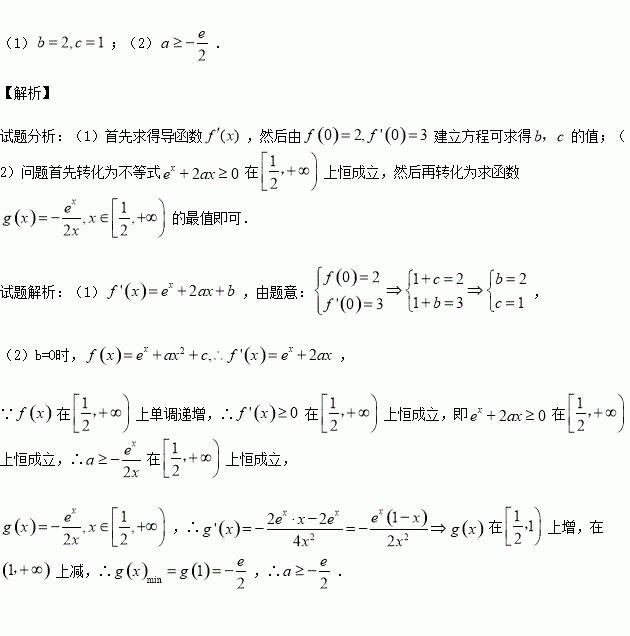
已知函数

(1)若曲线在点处的切线方程为,求的值;

(2)若,且上单调递增,求实数的取值范围.

练习册系列答案
相关习题

科目:高中数学 来源:2015-2016学年湖南省邵阳市高一上学期期中考试试卷(解析版) 题型:解答题

邵东某桶装水经营部每天的房租、人员工资等固定成本为360元,每桶水进价4元,销售单价与日均销量的关系如表所示

销售单价/元

5

6

7

8

9

10

11

日均销售量/桶

360

320

280

240

200

160

120

请根据以上数据作出分析,这个经营部怎样定价(单价要为整元)才能获得最大利润?最大利润为多少?

查看答案和解析>>

科目:高中数学 来源:2016届浙江省高三上学期期中文科数学试卷(解析版) 题型:选择题

已知是两个不同的平面,是两条不同的直线,则下列正确的是( )

A.若,则

B.若,则

C.若,则

D.若,则

查看答案和解析>>

科目:高中数学 来源:2016届湖南省六校高三12月联考文科数学卷(解析版) 题型:解答题

已知等比数列满足,且的等差数列.

(1)求数列的通项公式;

(2)若,求使成立的的最小值.

查看答案和解析>>

科目:高中数学 来源:2016届湖南省六校高三12月联考理科数学卷(解析版) 题型:选择题

设点P在曲线上,点在曲线上,则的最小值为( )

A. B. C. D.

查看答案和解析>>

科目:高中数学 来源:2016届安徽省等高三第三次联考理科数学试卷(解析版) 题型:解答题

为关于次多项式,数列的首项,前项和为,对于任意的正整数都成立.

(1)若,求证:数列是等比数列;

(2)试确定所有的自然数,使得数列能成等差数列.

查看答案和解析>>

科目:高中数学 来源:2015-2016学年重庆市高一上期中数学试卷(解析版) 题型:解答题

已知集合,集合

(1)求集合

(2)求集合

查看答案和解析>>

科目:高中数学 来源:2015-2016学年浙江慈溪中学高一7-12班上期中数学卷(解析版) 题型:填空题

,则

查看答案和解析>>

科目:高中数学 来源:2016届浙江省富阳市高三上学期第二次质量检测理科数学试卷(解析版) 题型:解答题

(本题满分15分)如图,在四面体ABCD中,已知∠ABD=∠CBD=60°,AB=BC=2,

(1)求证:AC⊥BD;

(2)若平面ABD⊥平面CBD,且BD=,求二面角C-AD-B的余弦值。

查看答案和解析>>

同步练习册答案