精英家教网 > 高中数学 > 题目详情

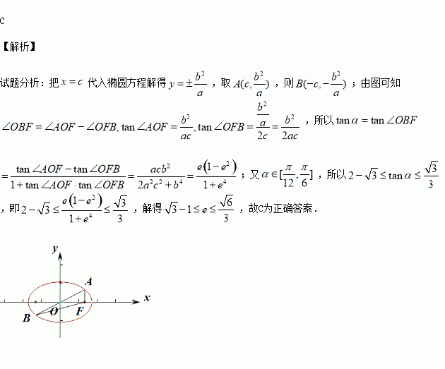
已知椭圆上有一点A,它关于原点的对称点为B,点F为椭圆的右焦点,且满足,设,且,则该椭圆的离心率e的取值范围为( )

A. B.

C. D.

练习册系列答案
相关习题

科目:高中数学 来源:2015-2016学年广西桂林市高一上期中数学试卷(解析版) 题型:选择题

函数y=的定义域是( )

A.[-,-1)∪(1,

B.(-,-1)∪(1,

C.[-2,-1)∪(1,2]

D.(-2,-1)∪(1,2)

查看答案和解析>>

科目:高中数学 来源:2016届山西省高三上期中理科数学试卷(解析版) 题型:解答题

某市政府欲在如图所示的矩形的非农业用地中规划出一个休闲娱乐公园(如图中阴影部分),形状为直角梯形(线段为两条底边),已知,其中曲线是以为顶点、为对称轴的抛物线的一部分.

(1)求曲线所围成区域的面积;

(2)求该公园的最大面积.

查看答案和解析>>

科目:高中数学 来源:2016届内蒙古赤峰二中高三上12月月考理科数学试卷(解析版) 题型:解答题

在直角坐标系xOy中,曲线C1的参数方程为(α为参数).M是C1上的动点,P点满足=2,P点的轨迹为曲线C2.

(1)求C2的方程;

(2)在以O为极点,x轴的正半轴为极轴的极坐标系中,射线θ=与C1的异于极点的交点为A,与C2的异于极点的交点为B,求|AB|.

查看答案和解析>>

科目:高中数学 来源:2016届湖南省长沙市高三月考三文科数学试卷(解析版) 题型:填空题

是双曲线的左、右焦点,过的直线l与C的左、右两支分别交于A、B两点,若,则双曲线的离心率为

查看答案和解析>>

科目:高中数学 来源:2016届河北省高三上学期期中考试理科数学试卷(解析版) 题型:填空题

已知满足约束条件若目标函数的最大值为7,则的最小值为_________.

查看答案和解析>>

科目:高中数学 来源:2015-2016学年福建省高一上第二次月考数学试卷(解析版) 题型:解答题

已知全集,

(Ⅰ)求

(Ⅱ)若,求实数的取值范围.

查看答案和解析>>

科目:高中数学 来源:2015-2016学年河北省邯郸市等校高二上学期期中文科数学试卷(解析版) 题型:填空题

下列关于圆锥曲线的命题:其中真命题的序号___________.(写出所有真命题的序号)。

①设为两个定点,若,则动点的轨迹为双曲线;

②设为两个定点,若动点满足,且,则的最大值为8;

③方程的两根可分别作椭圆和双曲线的离心率;

④双曲线与椭圆有相同的焦点

查看答案和解析>>

科目:高中数学 来源:2016届辽宁省大连市高三12月月考文科数学试卷(解析版) 题型:解答题

已知函数

(1)求实数a的值;

(2)求函数的值域。

查看答案和解析>>

同步练习册答案