精英家教网 > 高中数学 > 题目详情

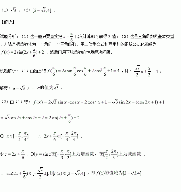
已知函数

(1)求实数a的值;

(2)求函数的值域。

练习册系列答案
相关习题

科目:高中数学 来源:2016届安徽省高三上第五次月考文科数学试卷(解析版) 题型:选择题

已知椭圆上有一点A,它关于原点的对称点为B,点F为椭圆的右焦点,且满足,设,且,则该椭圆的离心率e的取值范围为( )

A. B.

C. D.

查看答案和解析>>

科目:高中数学 来源:2015-2016学年山东省高二上学期期中考试理科数学试卷(解析版) 题型:选择题

设正实数 满足,则当 取得最大值时, 的最大值为 ( )

A.0 B.1 C. D.3

查看答案和解析>>

科目:高中数学 来源:2015-2016学年湖南株洲二中高二上第三次月考理数学卷(解析版) 题型:选择题

已知函数,则其导函数的图象大致是( )

查看答案和解析>>

科目:高中数学 来源:2016届重庆市高三12月月考理科数学试卷(解析版) 题型:解答题

已知直线被圆截得的弦长恰与椭圆的短轴长相等,椭圆的离心率

(1)求椭圆的方程;

(2)已知过点的动直线交椭圆两点,试问:在坐标平面上是否存在一个定点,使得无论如何转动,以为直径的圆恒过定点?若存在,求出点的坐标,若不存在,请说明理由.

查看答案和解析>>

科目:高中数学 来源:2016届辽宁省大连市高三12月月考理科数学试卷(解析版) 题型:解答题

在如图所示的几何体中,四边形ABCD为矩形,AB=2BC=4,BF=CF=AE=DE,EF=2,EF//AB,AF⊥CF.

(1)若G为FC的中点,证明:AF//平面BDG;

(2)求平面ABF与平面BCF夹角的余弦值.

查看答案和解析>>

科目:高中数学 来源:2016届河北省高三上第五次月考理科数学试卷(解析版) 题型:填空题

的展开式中含的项的系数是

查看答案和解析>>

科目:高中数学 来源:2016届河北省邯郸市高三一轮收官考试一理科数学试卷(解析版) 题型:填空题

已知数列满足),则的最小值为

查看答案和解析>>

科目:高中数学 来源:2015-2016学年西藏日喀则一中高二12月文科数学试卷(解析版) 题型:填空题

给定下列四个命题:其中为真命题的是 .(填上正确命题的序号)

①“”是“”的充分不必要条件;

②若“”为真,则“”为真;

③已知,则“”是“”的充分不必要条件;

④“若,则”的逆否命题为真命题.

查看答案和解析>>

同步练习册答案