精英家教网 > 高中数学 > 题目详情
已知定义在[0,+∞)上的函数f(x)满足f(x)=2f(x+2),当x∈[0,2)时,f(x)=-2x2+4x.设f(x)在[2n-2,2n)上的最大值为an(n∈N*),且{an}的前n项和为Sn,则Sn=( )
A.
B.
C.
D.
【答案】分析:根据定义在[0,+∞)上的函数f(x)满足f(x)=2f(x+2),可得f(x+2)=f(x),从而f(x+2n)=f(x),利用当x∈[0,2)时,f(x)=-2x2+4x,可求(x)在[2n-2,2n)上的解析式,从而可得f(x)在[2n-2,2n)上的最大值为an,进而利用等比数列的求和公式,即可求得{an}的前n项和为Sn
解答:解:∵定义在[0,+∞)上的函数f(x)满足f(x)=2f(x+2),
∴f(x+2)=f(x),
∴f(x+4)=f(x+2)=f(x),f(x+6)=f(x+4)=f(x),…f(x+2n)=f(x)
设x∈[2n-2,2n),则x-(2n-2)∈[0,2)
∵当x∈[0,2)时,f(x)=-2x2+4x.
∴f[x-(2n-2)]=-2[(x-(2n-2)]2+4[x-(2n-2)].
=-2(x-2n+1)2+2
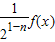
∴f(x)=21-n[-2(x-2n+1)2+2],x∈[2n-2,2n),
∴x=2n-1时,f(x)的最大值为22-n
∴an=22-n
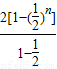
∴{an}表示以2为首项,为公比的等比数列
∴{an}的前n项和为Sn==
故选B.
点评:本题以函数为载体,考查数列的通项与求和,解题的关键是确定函数的解析式,利用等比数列的求和公式进行求和.
练习册系列答案
相关习题

科目:高中数学 来源: 题型:

已知定义在[0,+∞)上的函数f(x)满足f(x)=3f(x+2),当x∈[0,2)时,f(x)=-x2+2x,设f(x)在[2n-2,2n)上的最大值为an(n∈N+)且{an}的前n项和为Sn,则
lim
n→∞
Sn
=(  )
A、3
B、
5
2
C、2
D、
3
2

查看答案和解析>>

科目:高中数学 来源: 题型:

已知定义在[0,+∞)的函数f(x)=
x+2(x≥2)
x2,(0≤x<2)
,若f(f(k))=
17
4
,则实数k=
3
2
3
2

查看答案和解析>>

科目:高中数学 来源: 题型:

已知定义在[0,+∞)上的函数f(x)满足f(x)=2f(x+2),当x∈[0,2)时,f(x)=-2x2+4x.设f(x)在[2n-2,2n)上的最大值为an(n∈N*),且{an}的前n项和为Sn,则Sn=(  )

查看答案和解析>>

科目:高中数学 来源: 题型:

已知定义在[0,+∞)上的函数y=f(x)和y=g(x)的图象如图所示,则不等式f(x)•g(x)>0的解集是
(0,
1
2
)∪(1,2)∪(2,+∞)
(0,
1
2
)∪(1,2)∪(2,+∞)

查看答案和解析>>

科目:高中数学 来源: 题型:

在直角坐标系中,如果不同两点A(a,b),B(-a,-b)都在函数y=h (x )的图象上,那么称[A,B]为函数h(x)的一组“友好点”([A,B]与[B,A]看作一组).已知定义在[0,+∞)上的函数f(x)满足f(x+2)=
2
f(x),且当x∈[0,2]时,f(x)=sin
π
2
x.则函数f(x)=
f(x),0<x≤8
-
-x
,-8≤x<0
的“友好点”的组数为(  )

查看答案和解析>>

同步练习册答案