精英家教网 > 高中数学 > 题目详情

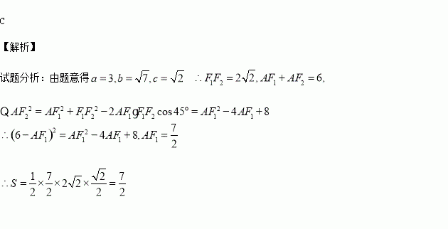
是椭圆的两个焦点,为椭圆上一点,且∠,则Δ的面积为( )

A. B. C. D.

练习册系列答案
相关习题

科目:高中数学 来源:2015-2016学年宁夏石嘴山三中高二上期中理科数学试卷(解析版) 题型:选择题

在样本的频率分布直方图中,共有4个小长方形,这4个小长方形的面积由小到大依次构成等

比数列,已知,且样本容量为300,则对应小长方形面积最小的一组的频数为( )

A.20 B.40 C.30 D.无法确定

查看答案和解析>>

科目:高中数学 来源:2015-2016学年江苏省泰兴市高一上学期期中考试数学试卷(解析版) 题型:解答题

如图,要设计一张矩形广告牌,该广告牌含有大小相等的左右两个矩形栏目(即图中阴影部分),这两栏的面积之和为18000,四周空白的宽度为10,两栏之间的中缝空白的宽度为5,设广告牌的高为,宽为

(Ⅰ)试用表示

(Ⅱ)用表示广告牌的面积

(Ⅲ)广告牌的高取多少时,可使广告牌的面积最小?

查看答案和解析>>

科目:高中数学 来源:2015-2016学年福建省四地六校高二上学期11月月考文科数学试卷(解析版) 题型:选择题

已知椭圆的右焦点为F1,左焦点为F2,若椭圆上存在一点P,满足线段PF1相切于以椭圆的短轴为直径的圆,切点为线段PF1的中点,则该椭圆的离心率为( )

A. B. C. D.

查看答案和解析>>

科目:高中数学 来源:2015-2016学年福建省四地六校高二上学期11月月考理科数学试卷(解析版) 题型:选择题

阅读下边的程序框图,运行相应的程序,输出S的值为( )

A.15 B.245 C.105 D.945

查看答案和解析>>

科目:高中数学 来源:2015-2016学年安徽省高二上期中文科数学试卷(解析版) 题型:选择题

如下四个游戏盘,现在投镖,投中阴影部分概率最小的是 ( )

查看答案和解析>>

科目:高中数学 来源:2016届中国人大附中高三上期中检测文科数学试卷(解析版) 题型:选择题

等差数列的前n项和为,如果,那么( )

A.8 B.15 C.24 D.30

查看答案和解析>>

科目:高中数学 来源:2016届山东省高三上开学考试理科数学试卷(解析版) 题型:解答题

中,已知

(Ⅰ)求和角的值;

(Ⅱ)若角的对边分别为,且,求的值.

查看答案和解析>>

科目:高中数学 来源:2015-2016学年浙江省高二上期中数学试卷(解析版) 题型:填空题

如图是某三棱锥的三视图,各个视图是全等的等腰直角三角形,且直角边长为1,则这个三棱

锥外接球的表面积是

查看答案和解析>>

同步练习册答案