精英家教网 > 高中数学 > 题目详情

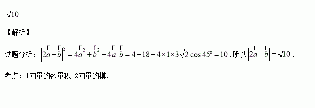
已知向量的夹角为 ,且;则

练习册系列答案
相关习题

科目:高中数学 来源:2014-2015学年北京市延庆县高三3月模拟理科数学试卷(解析版) 题型:选择题

下列函数是奇函数,并且在定义域上是增函数的是( )

A. B. C. D.

查看答案和解析>>

科目:高中数学 来源:2014-2015学年北京市海淀区高三下学期期中练习(一模)文科数学试卷(解析版) 题型:选择题

已知集合,则( )

(A) (B) (C) (D)

查看答案和解析>>

科目:高中数学 来源:2014-2015学年北京市海淀区高三下学期期中练习(一模)理科数学试卷(解析版) 题型:选择题

”是“角是第一象限的角”的( )

A.充分而不必要条件 B.必要而不充分条件

C.充分必要条件 D.既不充分也不必要条件

查看答案和解析>>

科目:高中数学 来源:2014-2015学年山东省滕州市高一上学期期末考试数学试卷(解析版) 题型:解答题

(本小题满分12分)函数是以2为周期的偶函数,且当时,

(1)求上的解析式;

(2)求的值.

查看答案和解析>>

科目:高中数学 来源:2014-2015学年山东省滕州市高一上学期期末考试数学试卷(解析版) 题型:选择题

将函数的图象上各点的纵坐标不变,横坐标伸长到原来的2倍,再向右平移个单位,所得到的图象的解析式是( )

A. B. C. D.

查看答案和解析>>

科目:高中数学 来源:2014-2015学年山东省滕州市高一上学期期末考试数学试卷(解析版) 题型:选择题

的值是( )

A. B. C. D.

查看答案和解析>>

科目:高中数学 来源:2014-2015学年山东省菏泽市高二上学期期末考试文科数学试卷(解析版) 题型:选择题

若不等式有解,则a的取值范围为( )

A.a<2 B.a=2 C.a>2 D.aR

查看答案和解析>>

科目:高中数学 来源:2014-2015学年天津市高三上学期第二次月考文科数学试卷(解析版) 题型:选择题

定义行列式运算=.将函数的图象向左平移个单位,以下是所得函数图象的一个对称中心是( )

A. B. C. D.

查看答案和解析>>

同步练习册答案