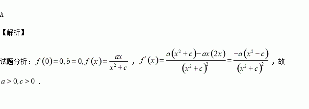
精英家教网 > 高中数学 > 题目详情

函数的图象如下图所示,则下列结论成立的是( )

A. B.

C. D.

练习册系列答案
相关习题

科目:高中数学 来源:2017届河北武邑中学高三上学期周考8.21数学(文)试卷(解析版) 题型:填空题

为锐角,若,则的值为__________.

查看答案和解析>>

科目:高中数学 来源:2017届河北定州中学高三上学期周练一数学试卷(解析版) 题型:填空题

在极坐标系中,点为曲线的对称中心,则三角形面积

等于________.

查看答案和解析>>

科目:高中数学 来源:2017届重庆第八中学高三上学期第一次月考数学(文)试卷(解析版) 题型:解答题

如图,已知是以为直径的⊙的一条弦,点是劣弧上的一点,过点,交,延长线交⊙.

(1)求证:

(2)延长,使,求证:.

查看答案和解析>>

科目:高中数学 来源:2017届重庆第八中学高三上学期第一次月考数学(文)试卷(解析版) 题型:填空题

已知的三个内角,且,则的最小值为 .

查看答案和解析>>

科目:高中数学 来源:2017届重庆第八中学高三上学期第一次月考数学(文)试卷(解析版) 题型:选择题

已知向量,则( )

A. B. C. D.

查看答案和解析>>

科目:高中数学 来源:2017届天津耀华中学高三上学期开学考试数学(文)试卷(解析版) 题型:解答题

已知过抛物线)的焦点,斜率为的直线交抛物线于)两点,且

(1)求该抛物线的方程;

(2)为坐标原点,为抛物线上一点,若,求的值.

查看答案和解析>>

科目:高中数学 来源:2017届天津耀华中学高三上学期开学考试数学(文)试卷(解析版) 题型:选择题

集合,则等于( )

A. B. C. D.

查看答案和解析>>

科目:高中数学 来源:2017届山西怀仁县一中高三上学期开学考数学(理)试卷(解析版) 题型:选择题

,其中变量满足的最大值为6,则的最小值为( )

A. B. C. D.

查看答案和解析>>

同步练习册答案