精英家教网 > 高中数学 > 题目详情

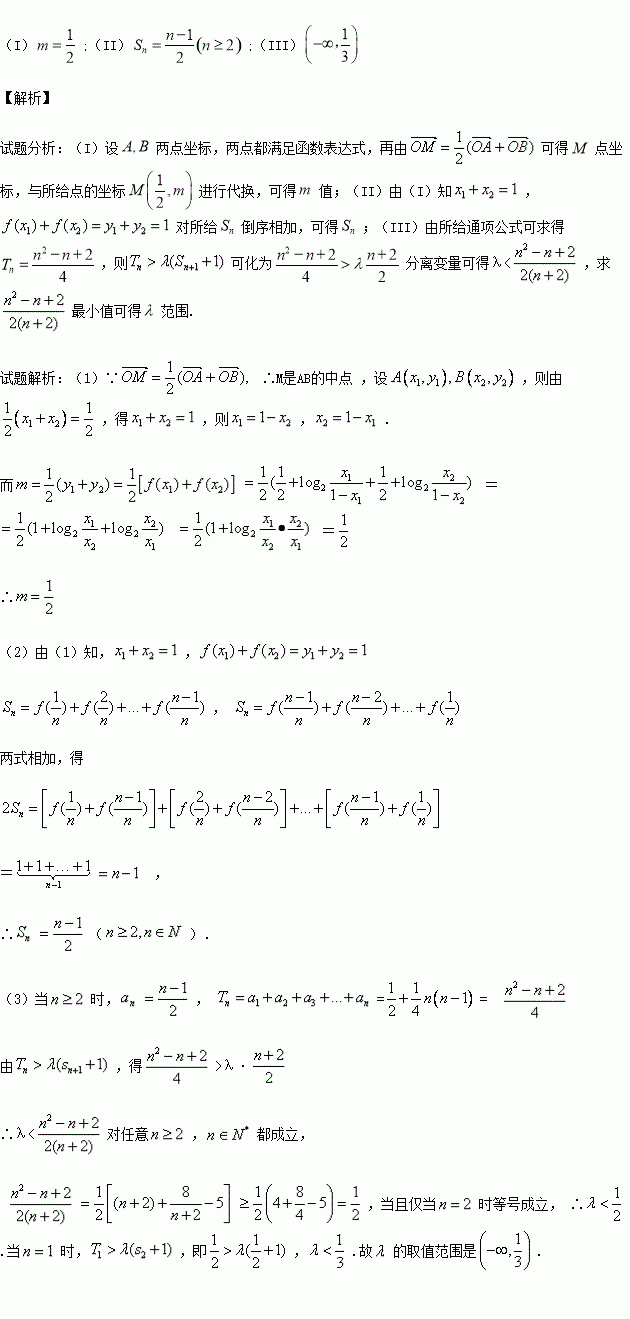
已知是函数的图象上任意两点,且,点

(I)求的值;

(II)若∈N*,且n≥2,求

(III)已知其中为数列{an}的前项和,若对一切都成立,试求的取值范围.

练习册系列答案
相关习题

科目:高中数学 来源: 题型:选择题

10.从0,1,2,…,9这10个数字中,任取两个不同数字作为平面直角坐标系中点(a,b)的坐标,能够确定不在x轴上的点的个数是(  )
A.100B.90C.81D.72

查看答案和解析>>

科目:高中数学 来源: 题型:解答题

11.化简下列各式(a>0,b>0).
(1)(a${\;}^{\frac{2}{3}}$b${\;}^{\frac{1}{2}}$)(-3a${\;}^{\frac{1}{2}}$•b${\;}^{\frac{1}{3}}$)÷($\frac{1}{3}$a${\;}^{\frac{1}{6}}$b${\;}^{\frac{5}{6}}$);
(2)$\frac{\root{3}{{a}^{4}}-8\root{3}{a}•b}{\root{3}{{a}^{2}}+2\root{3}{ab}+4\root{3}{{b}^{2}}}$÷(1-2$\root{3}{\frac{b}{a}}$)×$\root{3}{a}$.

查看答案和解析>>

科目:高中数学 来源:2017届广西南宁二中等校高三8月联考数学(理)试卷(解析版) 题型:选择题

设函数是定义在上的可导函数,其导函数为,且有,则不等式的解集为( )

A. B. C. D.

查看答案和解析>>

科目:高中数学 来源:2017届广西南宁二中等校高三8月联考数学(理)试卷(解析版) 题型:选择题

( )

A. B. C. D.

查看答案和解析>>

科目:高中数学 来源:2016-2017学年重庆市高二上学期入学考试数学试卷(解析版) 题型:解答题

已知分别为三个内角所对的边长,且

(Ⅰ)求角的值;

(Ⅱ)若,求的值.

查看答案和解析>>

科目:高中数学 来源:2016-2017学年重庆市高二上学期入学考试数学试卷(解析版) 题型:选择题

等差数列的前项和分别为,若,则( )

A. B. C. D.

查看答案和解析>>

科目:高中数学 来源:2016-2017学年新疆库尔勒市高二上学期分班考试数学(理)试卷(解析版) 题型:填空题

中,,点M是 AB上的动点(包含端点),则的取值范围为

查看答案和解析>>

科目:高中数学 来源: 题型:选择题

8.已知集合A={x|y=$\sqrt{1-x}$},B={x|x≤2},则(  )
A.A⊆BB.B⊆AC.A=BD.A∩B=(-∞,2]

查看答案和解析>>

同步练习册答案