精英家教网 > 高中数学 > 题目详情
函数f(x)=x3-ax2-bx+a2在x=1处有极值10,则点(a,b)为( )
A.(-4,11)或(3,-3)
B.(4,-5)或(-3,9)
C.(4,-5)
D.(-4,11)
【答案】分析:先对f(x)求导,然后由题设在x=1时有极值10可得  f′(1)=0,f(1)=10,解之即可求出a和b的值.注意对所得其情况进行验证.
解答:解:对函数f(x)=x3-ax2-bx+a2取对数,得,f′(x)=3x2-2ax-b,
∵函数f(x)在x=1处有极值10,∴
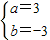
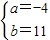
,解得,,或
又∵当时,f(x)=x3-3x2+3x+9
f′(x)=3x2-6x+3=3(x-2)2,令f′(x)=0,得x=2,
当x>2时,f′(x)>0,当x<2时,f′(x)>0,
∴函数不存在极值,∴点(a,b)为(-4,11)
故选D
点评:本题主要考查函数极值存在的条件,利用函数的极值存在的条件求参数的值,属于中档题.
练习册系列答案
相关习题

科目:高中数学 来源: 题型:

已知函数f(x)=-x3+ax2+bx+c在(-∞,0)上是减函数,在(0,1)上是增函数,函数f(x)在R上有三个零点.
(1)求b的值;
(2)若1是其中一个零点,求f(2)的取值范围;
(3)若a=1,g(x)=f′(x)+3x2+lnx,试问过点(2,5)可作多少条直线与曲线y=g(x)相切?请说明理由.

查看答案和解析>>

科目:高中数学 来源: 题型:

(2007•东城区一模)已知函数f(x)=x3+ax2+bx+c,曲线y=f(x)在点x=1处的切线l不过第四象限且斜率为3,又坐标原点到切线l的距离为
10
10
,若x=
2
3
时,y=f(x)有极值.
(1)求a,b,c的值;
(2)求y=f(x)在[-3,1]上的最大值和最小值.

查看答案和解析>>

科目:高中数学 来源: 题型:

(2013•宁波模拟)已知函数f(x)=x3+ax2-a2x+2,a∈R.
(1)若a<0时,试求函数y=f(x)的单调递减区间;
(2)若a=0,且曲线y=f(x)在点A、B(A、B不重合)处切线的交点位于直线x=2上,证明:A、B 两点的横坐标之和小于4;
(3)如果对于一切x1、x2、x3∈[0,1],总存在以f(x1)、f(x2)、f(x3)为三边长的三角形,试求正实数a的取值范围.

查看答案和解析>>

科目:高中数学 来源: 题型:

设函数f(x)=x3-3ax+b(a≠0),已知曲线y=f(x)在点(2,f(x))处在直线y=8相切.
(Ⅰ)求a,b的值;
(Ⅱ)求函数f(x)的单调区间与极值点.

查看答案和解析>>

科目:高中数学 来源: 题型:

对于函数f(x)=x3+ax2-x+1的极值情况,4位同学有下列说法:甲:该函数必有2个极值;乙:该函数的极大值必大于1;丙:该函数的极小值必小于1;丁:方程f(x)=0一定有三个不等的实数根. 这四种说法中,正确的个数是(  )

查看答案和解析>>

同步练习册答案