精英家教网 > 高中数学 > 题目详情
已知函数f(x)=lnx++ax,x∈(0,+∞) (a为实常数).
(1)当a=0时,求f(x)的最小值;
(2)若f(x)在[2,+∞)上是单调函数,求a的取值范围;
(3)设各项为正的无穷数列{xn}满足lnxn+<1(n∈N*),证明:xn≤1(n∈N*).
【答案】分析:(1)a=0时,f′(x)=则当0<x<1时f′(x)<0,当x>1时f′(x)>0可求解;
(2)由f′(x)=分a≥0和a<0两种情况讨论
(3)用反证法,假设x1=b>1,由(2)已得到,再递推得从而有
,得出矛盾.
解答:解(1)a=0时,f′(x)=
当0<x<1时f′(x)<0,当x>1时f′(x)>0,
∴f(x)min=1
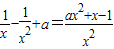
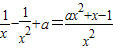
(2)f′(x)=
当a≥0时,ax2+x-1在[2,+∞)上恒大于零,即f′(x)>0,符合要求;
当a<0时,令g(x)=ax2+x-1,g(x)在[2,+∞)上只能恒小于零
故△=1+4a≤0或,解得:a≤
∴a的取值范围是(-∞,]∪[0,+∞)

(3)反证法:假设x1=b>1,由(1)知,
∴ln+≥1>lnxn+,∴>lnb+,(n∈N*),
∴故=,即<1,即lnb<,①
又由(1)当b>1时,,与①矛盾,故b≤1,即x1≤1,
同理可证x2≤1,x3≤1,…,xn≤1(n∈N*
点评:本题主要考查用导数法求闭区间上的最值,求参数的范围以及用反证法证明不等式问题,综合性较强要理清思路.
练习册系列答案
相关习题

科目:高中数学 来源: 题型:

已知函数f(x)=2x-2+ae-x(a∈R)
(1)若曲线y=f(x)在点(1,f(1))处的切线平行于x轴,求a的值;
(2)当a=1时,若直线l:y=kx-2与曲线y=f(x)在(-∞,0)上有公共点,求k的取值范围.

查看答案和解析>>

科目:高中数学 来源: 题型:

已知函数f(x)=x2+2|lnx-1|.
(1)求函数y=f(x)的最小值;
(2)证明:对任意x∈[1,+∞),lnx≥
2(x-1)
x+1
恒成立;
(3)对于函数f(x)图象上的不同两点A(x1,y1),B(x2,y2)(x1<x2),如果在函数f(x)图象上存在点M(x0,y0)(其中x0∈(x1,x2))使得点M处的切线l∥AB,则称直线AB存在“伴侣切线”.特别地,当x0=
x1+x2
2
时,又称直线AB存在“中值伴侣切线”.试问:当x≥e时,对于函数f(x)图象上不同两点A、B,直线AB是否存在“中值伴侣切线”?证明你的结论.

查看答案和解析>>

科目:高中数学 来源: 题型:

已知函数f(x)=x2-bx的图象在点A(1,f(1))处的切线l与直线x+3y-1=0垂直,若数列{
1
f(n)
}的前n项和为Sn,则S2012的值为(  )

查看答案和解析>>

科目:高中数学 来源: 题型:

已知函数f(x)=xlnx
(Ⅰ)求函数f(x)的极值点;
(Ⅱ)若直线l过点(0,-1),并且与曲线y=f(x)相切,求直线l的方程.

查看答案和解析>>

科目:高中数学 来源: 题型:

已知函数f(x)=
3
x
a
+
3
(a-1)
x
,a≠0且a≠1.
(1)试就实数a的不同取值,写出该函数的单调增区间;
(2)已知当x>0时,函数在(0,
6
)上单调递减,在(
6
,+∞)上单调递增,求a的值并写出函数的解析式;
(3)记(2)中的函数图象为曲线C,试问是否存在经过原点的直线l,使得l为曲线C的对称轴?若存在,求出直线l的方程;若不存在,请说明理由.

查看答案和解析>>

同步练习册答案