精英家教网 > 高中数学 > 题目详情

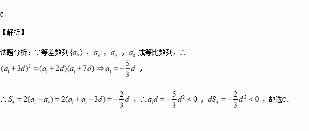
已知是等差数列,公差d不为零,前n项和是,若成等比数列,则( )

A. B.

C. D.

练习册系列答案
相关习题

科目:高中数学 来源:2016届宁夏回族自治区银川一中高三上第四次月考文科数学试卷(解析版) 题型:解答题

已知过抛物线的焦点,斜率为的直线交抛物线于两点,且

(1)求该抛物线的方程;

(2)为坐标原点,为抛物线上一点,若,求的值.

查看答案和解析>>

科目:高中数学 来源:2016届湖南省长沙市高三月考三理科数学试卷(解析版) 题型:解答题

如图,在三棱锥P-ABC中,

(1)求证:平面PBC⊥平面PAC;

(2)若PA=1,AB=2,BC=,在直线AC上是否存在一点D,使得直线BD与平面PBC所成角为30°?若存在,求出CD的长;若不存在,说明理由.

查看答案和解析>>

科目:高中数学 来源:2016届江西省南昌市高三上第四次考试文科数学试卷(解析版) 题型:选择题

已知满足,则( )

A. B. C. D.

查看答案和解析>>

科目:高中数学 来源:2016届湖南省株洲市高三上期中理科数学试卷(解析版) 题型:解答题

已知函数处的切线与直线垂直,函数

(1)求实数的值;

(2)若函数存在单调递减区间,求实数b的取值范围;

(3)设是函数的两个极值点,若,求的最小值.

查看答案和解析>>

科目:高中数学 来源:2016届黑龙江省高三12月月考文科数学试卷(解析版) 题型:解答题

已知等差数列的前n项和为,且

(1)求数列的通项公式与

(2)若,求数列的前n项和.

查看答案和解析>>

科目:高中数学 来源:2016届北京市海淀区高三上学期期中考试文科数学试卷(解析版) 题型:解答题

已知数列{}的各项均不为0,其前项和为Sn,且满足==

(Ⅰ)求的值;

(Ⅱ)求{}的通项公式;

(Ⅲ)若,求的最小值.

查看答案和解析>>

科目:高中数学 来源:2015-2016学年云南省景洪市高二上学期期中考试数学试卷(解析版) 题型:填空题

有一个简单的随机样本:10,12,9,14,13,则样本平均数= ,样本方差=

查看答案和解析>>

科目:高中数学 来源:2016届江苏省高三上学期期中考试数学试卷(解析版) 题型:填空题

已知函数处的切线与直线平行,则的值为________.

查看答案和解析>>

同步练习册答案