精英家教网 > 高中数学 > 题目详情

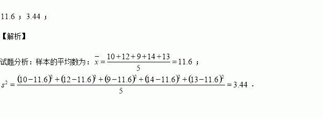
有一个简单的随机样本:10,12,9,14,13,则样本平均数= ,样本方差=

练习册系列答案
相关习题

科目:高中数学 来源:2016届江西省南昌市高三上第四次考试理科数学试卷(解析版) 题型:选择题

在△ABC中,为角的对边,若,则是( )

A.锐角三角形 B.钝角三角形 C.等腰三角形 D.等边三角形

查看答案和解析>>

科目:高中数学 来源:2016届湖南省长沙市高三月考三理科数学试卷(解析版) 题型:选择题

已知是等差数列,公差d不为零,前n项和是,若成等比数列,则( )

A. B.

C. D.

查看答案和解析>>

科目:高中数学 来源:2016届北京市海淀区高三上学期期中考试文科数学试卷(解析版) 题型:选择题

如图,点O为坐标原点,点A(1,1).若函数>0,且≠1)及,且≠1)的图象与线段OA分别交于点M,N,且M,N恰好是线段OA的两个三等分点,则满足( )

A. B. C. D.

查看答案和解析>>

科目:高中数学 来源:2016届北京市海淀区高三上学期期中考试理科数学试卷(解析版) 题型:选择题

已知函数,下列结论错误的是 ( )

A.

B.函数的图象关于直线x=0对称

C.的最小正周期为

D.的值域为

查看答案和解析>>

科目:高中数学 来源:2016届浙江省嘉兴市高三上学期能力测试文科数学试卷(解析版) 题型:解答题

已知抛物线与直线交于两点,,点在抛物线上,

(Ⅰ) 求的值;

(Ⅱ) 求点的坐标.

查看答案和解析>>

科目:高中数学 来源:2016届浙江省嘉兴市高三上学期能力测试理科数学试卷(解析版) 题型:解答题

已知函数,其中.记的最小值.

(Ⅰ)求的单调递增区间;

(Ⅱ)求的取值范围,使得存在,满足

查看答案和解析>>

科目:高中数学 来源:2016届江西省新余市高三第四次模拟考理科数学试卷(解析版) 题型:填空题

已知内且___________.

查看答案和解析>>

科目:高中数学 来源:2016届黑龙江省高三12月月考理科数学试卷(解析版) 题型:选择题

如下图所示将若干个点摆成三角形图案,每条边(包括两个端点)有n(n>1,n∈N*)个点,相应的图案中总的点数记为,则=( )

A. B. C. D.

查看答案和解析>>

同步练习册答案