精英家教网 > 高中数学 > 题目详情

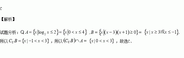
设全集集合( )

A. B. C. D.

练习册系列答案
相关习题

科目:高中数学 来源:2016届宁夏回族自治区银川一中高三上第四次月考文科数学试卷(解析版) 题型:选择题

直线过抛物线x2=2py(p>0)的焦点,且与抛物线交于A、B两点,若线段AB的长是6,AB的中点到x轴的距离是1,则此抛物线方程是( )

A.x2=12y B.x2=8y C.x2=6y D.x2=4y

查看答案和解析>>

科目:高中数学 来源:2016届北京市海淀区高三上学期期中考试理科数学试卷(解析版) 题型:选择题

已知函数,下列结论错误的是 ( )

A.

B.函数的图象关于直线x=0对称

C.的最小正周期为

D.的值域为

查看答案和解析>>

科目:高中数学 来源:2016届浙江省嘉兴市高三上学期能力测试理科数学试卷(解析版) 题型:解答题

已知函数,其中.记的最小值.

(Ⅰ)求的单调递增区间;

(Ⅱ)求的取值范围,使得存在,满足

查看答案和解析>>

科目:高中数学 来源:2016届江西省新余市高三第四次模拟文科数学试卷(解析版) 题型:选择题

已知都是定义在上的函数,,且,若数列的前项和大于,则的最小值为( )

A.8 B.9 C.10 D.11

查看答案和解析>>

科目:高中数学 来源:2016届江西省新余市高三第四次模拟考理科数学试卷(解析版) 题型:填空题

已知内且___________.

查看答案和解析>>

科目:高中数学 来源:2016届江苏省高三上学期期中考试数学试卷(解析版) 题型:解答题

已知函数(其中为常数,且)的部分图像如图所示.

(1)求函数的解析式

(2)若的值

查看答案和解析>>

科目:高中数学 来源:2016届湖南省高三上第三次月考理数学试卷(解析版) 题型:选择题

下列命题错误的是 ( )

A.命题“若,则”的逆否命题为“若中至少有一个不为

B.若命题,则

C.中,的充要条件

D.若向量满足,则的夹角为锐角

查看答案和解析>>

科目:高中数学 来源:2015-2016学年青海省高二期中考试数学试卷(解析版) 题型:解答题

在如图所示的几何体中,四边形ABCD是等腰梯形,AB∥CD,∠DAB=60°,FC⊥平面ABCD,

AE⊥BD,CB=CD=CF=1.

(1)求证:BD⊥平面AED;

(2)求B到平面FDC的距离.

查看答案和解析>>

同步练习册答案