精英家教网 > 高中数学 > 题目详情

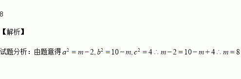
已知椭圆=1,长轴在y轴上.若焦距为4,则m等于________.

练习册系列答案
相关习题

科目:高中数学 来源:2015-2016学年宁夏石嘴山三中高一上期中数学试卷(解析版) 题型:解答题

,求函数的最大值和最小值.

查看答案和解析>>

科目:高中数学 来源:2015-2016学年吉林省高二上期中理科数学试卷(解析版) 题型:选择题

已知双曲线,过点作直线与双曲线仅有一个公共点,这样的直线共有( )

A.0条 B.2条 C.4条 D.无数条

查看答案和解析>>

科目:高中数学 来源:2015-2016学年湖南省邵阳市高一上学期期中考试试卷(解析版) 题型:解答题

已知函数

(1)求函数f(x)的定义域和值域;

(2)判断函数f(x)的奇偶性,并说明理由.

查看答案和解析>>

科目:高中数学 来源:2015-2016学年江苏省淮安市高二上学期期中考试数学试卷(解析版) 题型:填空题

如图,正方体ABCD-A1B1C1D1的棱长为1,E为线段B1C上的一点,则三棱锥A-DED1的体积为__________.

查看答案和解析>>

科目:高中数学 来源:2015-2016学年福建省四地六校高二上学期11月月考理科数学试卷(解析版) 题型:填空题

如图,在矩形ABCD中,AB=,BC=1,以A为圆心,1为半径作四分之一个圆弧DE,在圆弧DE上任取一点P,则直线AP与线段BC有公共点的概率是

查看答案和解析>>

科目:高中数学 来源:2015-2016学年福建省龙海市高二上学期期中理科数学试卷(解析版) 题型:选择题

某程序框图如右图所示,现输入如下四个函数, 则可以输出的函数是( )

(A) (B)

(C) (D)

查看答案和解析>>

科目:高中数学 来源:2016届浙江省高三上学期期中理科数学试卷(解析版) 题型:解答题

,圆轴正半轴的交点为,与曲线的交点为,直线轴的交点为

(1)求证:

(2)设,求证:

查看答案和解析>>

科目:高中数学 来源:2015-2016学年重庆市高一上期中数学试卷(解析版) 题型:解答题

已知二次函数的最小值为1,

(1)求的解析式;

(2)若函数上不是单调函数,求实数的取值范围.

查看答案和解析>>

同步练习册答案