精英家教网 > 高中数学 > 题目详情

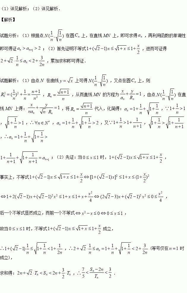
,圆轴正半轴的交点为,与曲线的交点为,直线轴的交点为

(1)求证:

(2)设,求证:

练习册系列答案
相关习题

科目:高中数学 来源:2015-2016学年江西省高一上第三次考试数学试卷(解析版) 题型:选择题

在直角坐标系中, 如果两点在函数的图象上, 那么称为函数的一组关于原点的中心对称点 (看作一组).函数关于原点的中心对称点的组数为 ( )

A.1 B.2 C.3 D.4

查看答案和解析>>

科目:高中数学 来源:2015-2016学年福建省四地六校高二上学期11月月考文科数学试卷(解析版) 题型:填空题

已知椭圆=1,长轴在y轴上.若焦距为4,则m等于________.

查看答案和解析>>

科目:高中数学 来源:2015-2016学年安徽省高二上期中文科数学试卷(解析版) 题型:选择题

设命题p:函数的图象向左平移单位得到的曲线关于y轴对称;命题q:函数在[-1,+∞)上是增函数.则下列判断正确的是( )

A.p为假命题 B.为假命题

C.p∧q为真命题 D.p∨q为真命题

查看答案和解析>>

科目:高中数学 来源:2016届中国人大附中高三上期中检测文科数学试卷(解析版) 题型:选择题

下列函数中,既是奇函数,又在区间上为增函数的是( )

A. B. C. D.

查看答案和解析>>

科目:高中数学 来源:2016届浙江省高三上学期期中理科数学试卷(解析版) 题型:选择题

给出下列3个命题,其中正确的个数是 ( )

①若“命题为真”,则“命题为真”;

②命题“”的否定是“”;

③“”是““的充要条件 .

A.1个 B.2个 C. 3个 D.0个

查看答案和解析>>

科目:高中数学 来源:2016届山东省高三上开学考试理科数学试卷(解析版) 题型:填空题

在三棱柱中,侧棱平面,底面是边长为的正三角形,则此三棱柱的体积为

查看答案和解析>>

科目:高中数学 来源:2016届安徽省等高三第三次联考文科数学卷(解析版) 题型:解答题

已知数列满足

(1)求证:为等比数列,并求出的通项公式;

(2)若,求的前n项和

查看答案和解析>>

科目:高中数学 来源:2015-2016学年浙江慈溪中学高二2-10班上期中数学卷(解析版) 题型:选择题

是三个互不重合的平面,是直线,给出下列命题:①,则;②若,则;③若内的射影互相垂直,则;④若,则,其中正确命题的个数为( )

A.0 B.1 C.2 D.3

查看答案和解析>>

同步练习册答案