精英家教网 > 高中数学 > 题目详情

求过两圆x2y2+4xy=-1,x2y2+2x+2y+1=0的交点的圆中面积最小的圆的方程.


解 由

①-②得2xy=0代入①得x=-或-1,

∴两圆两个交点为,(-1,-2).

过两交点圆中,以,(-1,-2)为端点的线段为直径的圆时,面积最小.

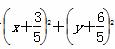
∴该圆圆心为,半径为

圆方程为.


练习册系列答案
相关习题

科目:高中数学 来源: 题型:


在如图所示的四棱锥中,平面

,四边形为边长是的正方形,

的中点.(1)求四棱锥的体积;

    (2)求证:

    (3)求证:平面.

 


查看答案和解析>>

科目:高中数学 来源: 题型:


P(4,-2)与圆x2y2=4上任一点连线的中点的轨迹方程是(  ).

A.(x-2)2+(y+1)2=1  B.(x-2)2+(y+1)2=4

C.(x+4)2+(y-2)2=4  D.(x+2)2+(y-1)2=1

查看答案和解析>>

科目:高中数学 来源: 题型:


如图,在平面直角坐标系xOy中,

A(0,3),直线ly=2x-4.设圆C的半径为1,圆心在l上.

(1)若圆心C也在直线yx-1上,过点A作圆C的切线,求切线的方程;

(2)若圆C上存在点M,使|MA|=2|MO|,求圆心C的横坐标a的取值范围.

审题路线 (1)由两条直线解得圆心C的坐标⇒设过点A与圆C相切的切线方程⇒由点到直线的距离求斜率⇒写出切线方程;(2)设圆C的方程⇒设点M(xy)⇒由|MA|=2|MO|得M的轨迹方程⇒由两圆有公共点,列出关于a的不等式⇒解不等式可得.

 


查看答案和解析>>

科目:高中数学 来源: 题型:


若圆x2y2+2x-4ym=0(m<3)的一条弦AB的中点为P(0,1),则垂直于AB的直径所在直线的方程为(  ).

A.xy+1=0  B.xy-1=0

C.xy-1=0  D.xy+1=0

查看答案和解析>>

科目:高中数学 来源: 题型:


已知圆Mx2+(y-2)2=1,Qx轴上的动点,QAQB分别切圆MAB两点.

(1)若Q(1,0),求切线QAQB的方程;

(2)求四边形QAMB面积的最小值;

(3)若|AB|=,求直线MQ的方程.

查看答案和解析>>

科目:高中数学 来源: 题型:


已知动点M(xy)到直线lx=4的距离是它到点N(1,0)的距离的2倍.

(1)求动点M的轨迹C的方程;

(2)过点P(0,3)的直线m与轨迹C交于AB两点.若APB的中点,求直线m的斜率.

查看答案和解析>>

科目:高中数学 来源: 题型:


已知圆Gx2y2-2xy=0经过椭圆=1(ab>0)的右焦点F及上顶点B.过椭圆外一点M(m,0)(ma)作倾斜角为π的直线l交椭圆于CD两点.

(1)求椭圆的方程;

(2)若右焦点F在以线段CD为直径的圆E的内部,求m的取值范围.

查看答案和解析>>

科目:高中数学 来源: 题型:


已知双曲线=1(a>0,b>0)的两条渐近线与抛物线y2=2px(p>0)的准线分别交于AB两点,O为坐标原点.若双曲线的离心率为2,△AOB的面积为,则p=(  ).

A.1  B.  C.2  D.3

查看答案和解析>>

同步练习册答案