精英家教网 > 高中数学 > 题目详情

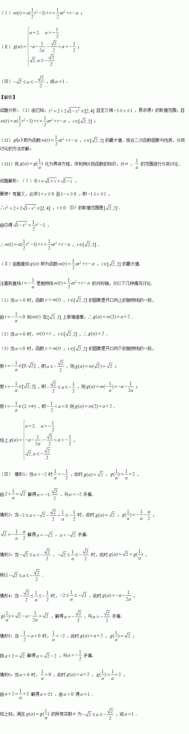
为实数,函数的最大值为.

(Ⅰ)设,求的取值范围,并把表示为的函数

(Ⅱ)求

(Ⅲ)试求满足的所有实数.

练习册系列答案
相关习题

科目:高中数学 来源:2016届山西省高三高考考前质量检测考试(三)数学(理)试卷(解析版) 题型:选择题

为双曲线的渐近线位于第一象限上的一点,若点到该双曲线左焦点的距离为,则点到其右焦点的距离为( )

A. B. C. D.

查看答案和解析>>

科目:高中数学 来源:2016届陕西黄陵中学高三下二模考试数学(文)试卷(解析版) 题型:选择题

已知两条直线,且,则直线的一个方向向量是( )

A. B.(-1,-1) C. D.

查看答案和解析>>

科目:高中数学 来源:2017届宁夏高三上学期月考一数学(理)试卷(解析版) 题型:选择题

在等比数列中,,则能使不等式

成立的最大正整数是( )

A.5 B.6 C.7 D.8

查看答案和解析>>

科目:高中数学 来源:2017届宁夏高三上学期月考一数学(理)试卷(解析版) 题型:选择题

给出下列四个命题:其中正确命题的个数是( )

的对称轴为

②函数最大值为2;

③函数的周期为

④函数上是增函数.

A.1 B.2 C.3 D.4

查看答案和解析>>

科目:高中数学 来源:2016-2017汕头潮阳实验学校高二培优班8月月考数学试卷(解析版) 题型:解答题

中,角所对的边分别为,且.

(1)求的值;

(2)若,求的值.

查看答案和解析>>

科目:高中数学 来源:2016-2017汕头潮阳实验学校高二培优班8月月考数学试卷(解析版) 题型:选择题

已知正四棱锥的侧棱长与底面边长都等于2,点是棱的中点,则直线与直线所成的角的余弦值为( )

A. B. C. D.

查看答案和解析>>

科目:高中数学 来源:2017届四川绵阳中学高三上学期入学考试数学(理)试卷(解析版) 题型:填空题

正方体的棱长为,若动点在线段上运动, 则的取值范围

查看答案和解析>>

科目:高中数学 来源:2016-2017学年辽宁六校协作体高二期初考试数学试卷(解析版) 题型:解答题

已知函数.

(1)求的最小正周期;

(2)求的单调递增区间.

查看答案和解析>>

同步练习册答案