精英家教网 > 高中数学 > 题目详情

过定点(1,2)的直线在正半轴上的截距分别为,则4的最小值为        

 

【答案】

32

【解析】

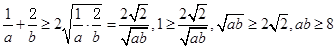
试题分析:根据题意设直线方程为,则,由不等式可得,当且仅当时取等号,又,当且仅当时取等号.

考点:1.直线议程;2.基本不等式的应用

 

练习册系列答案
相关习题

科目:高中数学 来源: 题型:

已知动点P与直x=4的距离等于它到定点F(1,0)的距离的2倍,
(1)求动点P的轨迹C的方程;
(2)点M(1,1)在所求轨迹内,且过点M的直线与曲线C交于A、B,当M是线段AB中点时,求直线AB的方程.

查看答案和解析>>

科目:高中数学 来源: 题型:

(2011•怀化一模)函数f(x)=ax+1+1(a>0且a≠1)的图象恒过定点A,且点A在直l:bx-y+2=0上,则直线l的方程是
y-2=0
y-2=0

查看答案和解析>>

科目:高中数学 来源: 题型:

已知二面角α-l-β为直二面角,A是α内一定点,过A作直线AB交β于B,若直线AB与二面角α-l-β的两个半平面α,β所成的角分别为30°和60°,则这样的直线最多有(  )

查看答案和解析>>

科目:高中数学 来源:不详 题型:解答题

已知动点P与直x=4的距离等于它到定点F(1,0)的距离的2倍,
(1)求动点P的轨迹C的方程;
(2)点M(1,1)在所求轨迹内,且过点M的直线与曲线C交于A、B,当M是线段AB中点时,求直线AB的方程.

查看答案和解析>>

科目:高中数学 来源:2008-2009学年福建省泉州市南安一中高二(上)年期末数学试卷(文科)(解析版) 题型:解答题

已知动点P与直x=4的距离等于它到定点F(1,0)的距离的2倍,
(1)求动点P的轨迹C的方程;
(2)点M(1,1)在所求轨迹内,且过点M的直线与曲线C交于A、B,当M是线段AB中点时,求直线AB的方程.

查看答案和解析>>

同步练习册答案