下列函数中,既是偶函数,又在区间(0,3)内是增函数的是( )
A.y=2x+2-x
B.y=cos
C.y=log0.5|x|
D.y=x+x-1
【答案】
分析:利用函数奇偶性的定义,判断函数的奇偶性,再判断函数的单调性,即可得到结论.
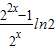
解答:解:对于A,满足f(-x)=f(x),函数为偶函数,∵y′=2
xln2-2
-xln2=

,∴在区间(0,3)内,y′>0,函数是增函数,满足题意;
对于B,满足f(-x)=f(x),函数为偶函数,在(0,π)上单调递减,不满足题意;
对于C,满足f(-x)=f(x),函数为偶函数,在(0,+∞)上单调递减,不满足题意;
对于D,f(-x)=-x+(-x)
-1=-f(x),函数为奇函数,不满足题意,
故选A.
点评:本题考查函数单调性与奇偶性的结合,考查函数单调性、奇偶性的定义,属于基础题.