精英家教网 > 高中数学 > 题目详情
已知f(x)=x|x-a|+2x-3
(Ⅰ)当a=4,2≤x≤5时,问x分别取何值时,函数f(x)取得最大值和最小值,并求出相应的最大值和最小值;
(Ⅱ)若f(x)在R上恒为增函数,试求a的取值范围;
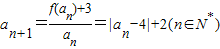
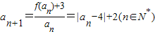
(Ⅲ)已知常数a=4,数列{an}满足,试探求a1的值,使得数列{an}(n∈N+)成等差数列.
【答案】分析:(Ⅰ)由当a=4时,确定函数f(x)=x|x-4|+2x-3,再用分类讨论去绝对值可得(1)2≤x<4时,f(x)=x(4-x)+2x-3=-(x-3)2+6(2)当4≤x≤5时,f(x)=x(x-4)+2x-3=(x-1)2-4,分别用二次函数法示得最值,再从中选最大的为最大值,最小的为最小值.(Ⅱ)先转化为分段函数,若f(x)在R上恒为增函数,则由每一段必须都为增函数求解(Ⅲ)由(I)得到,再用分类讨论去绝对值,①当an<4时,an+1=-an+6,即an+1+an=6(②当an≥4时an+1=an-2,即an+1-an=-2分别研究,再综合求解.
解答:解:(Ⅰ)当a=4时,f(x)=x|x-4|+2x-3
(1)2≤x<4时,f(x)=x(4-x)+2x-3=-(x-3)2+6
当x=2时,f(x)min=5;当x=3时,f(x)max=6
(2)当4≤x≤5时,f(x)=x(x-4)+2x-3=(x-1)2-4
当x=4时,f(x)min=5;当x=5时,f(x)max=12
综上所述,当x=2或4时,f(x)min=5;当x=5时,f(x)max=12

(Ⅱ)
f(x)在R上恒为增函数的充要条件是,解得-2≤a≤2

(Ⅲ)
①当an<4时,an+1=-an+6,即an+1+an=6(1)
当n=1时,a1+a2=6;当n≥2时,an+an-1=6(2)
(1)-(2)得,n≥2时,an+1-an-1=0,即an+1=an-1
又{an}为等差数列,∴an=3(n∈N*)此时a1=3
②当an≥4时an+1=an-2,即an+1-an=-2∴d=-2
若d=-2时,则an+1=an-2(3),将(3)代入(1)得an-4=|an-4|,
∴an≥4对一切n∈N*都成立
另一方面,an=a1-2(n-1),an≥4当且仅当时成立,矛盾
∴d=-2不符合题意,舍去.
综合①②知,要使数列{an}(n∈N+)成等差数列,则a1=3
点评:本题主要考查了绝对值函数和分段函数间的转化以及数列的判断与证明,涉及到了分类讨论,二次函数求最值和数列求通项等问题.
练习册系列答案
相关习题

科目:高中数学 来源: 题型:

已知f(x)是定义在R上的奇函数,当x≥0时,f(x)=x2-kx3.(k≥0)
(Ⅰ)求g(x)的解析式;
(Ⅱ)讨论函数f(x)在区间(-∞,0)上的单调性;
(Ⅲ)若k=
1
3
,设g(x)是函数f(x)在区间[0,+∞)上的导函数,问是否存在实数a,满足a>1并且使g(x)在区间[
1
2
,a]
上的值域为[
1
a
,1]
,若存在,求出a的值;若不存在,请说明理由.

查看答案和解析>>

科目:高中数学 来源: 题型:

已知f 1(x)=|3x-1|,f2(x)=|a•3x-9|(a>0),x∈R,且f(x)=
f1(x),f1(x)≤f2(x)
f2(x),f1(x)>f2(x)

(1)当a=1时,求f(x)的解析式;
(2)在(1)的条件下,若方程f(x)-m=0有4个不等的实根,求实数m的范围;
(3)当2≤a<9时,设f(x)=f2(x)所对应的自变量取值区间的长度为l(闭区间[m,n]的长度定义为n-m),试求l的最大值.

查看答案和解析>>

科目:高中数学 来源: 题型:

(2013•闵行区二模)已知f(x)=x|x-a|+b,x∈R.
(1)当a=1,b=0时,判断f(x)的奇偶性,并说明理由;
(2)当a=1,b=1时,若f(2x)=
54
,求x的值;
(3)若b<0,且对任何x∈[0,1]不等式f(x)<0恒成立,求实数a的取值范围.

查看答案和解析>>

科目:高中数学 来源: 题型:

已知f(x)=x|x-a|-2.
(1)若f(1)≤1,求a的取值范围;
(2)若a>0,求f(x)的单调区间;
(3)若当x∈[0,1]时,恒有f(x)<0,求实数a的取值范围.

查看答案和解析>>

科目:高中数学 来源:2011年高三数学第一轮基础知识训练(20)(解析版) 题型:解答题

已知f(x)是定义在R上的奇函数,当x≥0时,f(x)=x2-kx3.(k≥0)
(Ⅰ)求g(x)的解析式;
(Ⅱ)讨论函数f(x)在区间(-∞,0)上的单调性;
(Ⅲ)若,设g(x)是函数f(x)在区间[0,+∞)上的导函数,问是否存在实数a,满足a>1并且使g(x)在区间上的值域为,若存在,求出a的值;若不存在,请说明理由.

查看答案和解析>>

同步练习册答案